ПРИМЕР 3
Самоамортизирующийся кредит, выданный на 10 лет под 12% годовых, обеспечиваетежемесячные платежи в размере 1000 долл. Каковапервоначальная величина кредита?

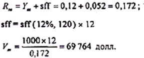
Предполагается, что актив исходя из 10% годовых приносит 10 000 долл. ежегодного дохода в течение 5 лет, после чего полностью обесценивается.
Инвестор приобрел этот актив с условием, что 10% годовых учитывают кроме дохода возврат первоначального капитала. За какую сумму приобретен актив исходя из допущения Инвуда?
Rо = Yо + sff = 0,1 +sff(5 лет, 10%) = 0,1 + 0,164 = 0,264;
![]() |
Метод Хоскольдапредполагает, что инвестор не располагает доступными вариантами для реинвестирования по ставке, равной ставке па первоначальные инвестиции..
Предположим, инвестор приобрел актив с существенно большей доходностью по сравнению с другими возможностями, осознавая при этом риск, которому подвержены его вложения. Чтобы обезопасить возврат своих средств, инвестор формирует фонд возмещения, реинвестируя по минимальной из возможных ставок.
В этом и заключается допущение Хоскольда — фонд возмещения формируется по "безрисковой" ставке.







