В 1971 году разработан и утвержден международный стандарт по вопросам трения и изнашивания - ГОСТ 16429-70.
Как, например, трактует это понятие «изнашивание» этот ГОСТ?
Изнашивание это такое явление, когда при затрате энергии, равной работе сил трения, с поверхности твердого тела отделяются частицы и масса тела уменьшается, а результат изнашивания называется износом.
Величина износа на единицу работы силы трения называется интенсивностью изнашивания и определяется как отношение:
,
где
,
иногда
,
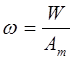
где W - износ;
- коэффициент трения;
Ат - работа трения;
Р - нормальная нагрузка;
L - путь трения.
Часто для определения интенсивности изнашивания пользуются упрощенной формулой:
.
Величина износа в единицу времени называется скоростью изнашивания и определяется по формуле:
,
где а - скорость изнашивания;
t - время опыта.
Учитывая условия работы породоразрушающего инструмента при изучении абразивных свойств горных пород, применяются следующие схемы изнашивания:

Рис. 45
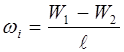
1. Показатель абразивности горной породы определяется по формуле:
,
где W1 и W2 - масса коронки до и после бурения в г;
- проходка в м.
4. Исследования абразивного изнашивания и абразивности горных пород, выполненные на установках такого типа, наиболее полно описывают картину реального износа металла на забое. Нагрузка на кольцо подбирается по величине требуемой интенсивности нагрузки:
,
где Р - нагрузка на кольцо;
Рв - нагрузка на единицу длины образующей кольца;
в - длина образующей кольца (ширина кольца.
Скорость скольжения определяется по формуле:
,
где Vc - скорость скольжения;
D - диаметр кольца;
n - частота взаимодействия.
Охлаждение производится технической водой. Расход этой воды производится по формуле:
Q = qS,
где q - удельный расход воды на единицу рабочей поверхности изучаемого объекта;
S - рабочая поверхность кольца.
За показатель абразивности принята скорость изнашивания (а). Скорость изнашивания - это толщина слоя металла, снимаемого при изнашивании с рабочей поверхности образца в единицу времени.
Скорость изнашивания определяется по формуле:
,
где W - массовый износ образца металла;
nм - плотность металла;
t0 - время опыта.
В том случае, если износу подвергается кольцо, средняя удельная емкость может быть подсчитана по формуле:
Вт/мм2,
где М - средний момент трения за опыт в кгс×м;
n - скорость вращения кольца в об/ мин;
S - рабочая поверхность кольца в мм2.
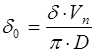
Скорость разрушения горной породы (d0) можно определить по формуле:
,
где Vn - скорость подачи образца горной породы.
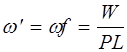
Коэффициент трения пары металл - горная порода определяется следующим образом:
,
где М - средний момент трения за опыт в кгс×м;
Р - нагрузка на кольцо,
D - диаметр кольца.