Задача 1. Определить средний коэффициент теплоотдачи от стенки трубок конденсатора к охлаждающей воде, если температура воды на входе в конденсатор tж1 = 18 °C, а на выходе tж2 = 22 °C. Скорость воды в трубах V = 2 м/с, а средняя температура стенок труб, контактирующих с водой tст = 30 °C. Внутренний диаметр трубок d = 16 мм = 0,016 м.
Решение всех задач конвективного теплообмена необходимо начинать с определения теплофизических параметров теплоносителя. В качестве определяющей принимает среднюю температуру воды в конденсаторе
°C.
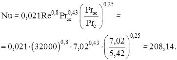
Из таблиц теплофизических параметров определяем при температуре теплоносителя tжср = 20 °C коэффициент теплопроводности воды lж = = 0,6 Вт/(м·град), коэффициент кинематической вязкости воды n = 1·106 м2/c, критерий Прандтля Pr = 7,02, а также значение критерия Прандтля воды при температуре стенки Prс = 5,42.
Далее определяем режим движения воды, для чего рассчитываем величину критерия Рейнольдса
.
Значит режим движения турбулентный, и для расчета теплоотдачи можно воспользоваться классической формулой (13.14)
|
|
|

Отсюда определяем значение среднего коэффициента теплоотдачи
Вт/(м2·град).
Задача 2. В теплообменнике типа «труба в трубе» в кольцевом канале движется вода со скоростью V = 3 м/с. Средняя температура воды tж = 40 °C, средняя температура стенки tс = 70 °C. Определить средний по длине коэффициент теплоотдачи и тепловую мощность теплообменника, если длина трубы L = 1,4 м;
.
Определяем теплофизические параметры воды:
| l = 0,64 Вт/(м2·град); | n = 0,66·10-6 м2/с; | Prж = 4,31; | Prс = 2,55. |
Определяем режим движения воды
.
Здесь d — определяющий размер. Для кольцевого зазора в качестве определяющего размера принимается разность диаметров, образующих зазор,
м.
Режим движения — турбулентный. Для расчета теплоотдачи можно использовать зависимость (3.15).

Отсюда средний коэффициент теплоотдачи
Вт/(м2·град).
Тепловая нагрузка теплообменника
, Вт,
где F — площадь теплопередающей поверхности, м2,
м2;
Dt — разность между температурой теплообменной поверхности tс = 70 °C и температурой жидкости tж = 40 °C.
°C.
Вт.
Задача 3. По трубе d = 60 мм и длиной l = 2,9 м течёт воздух со скоростью V = 5 м/с. Определить среднее значение теплоотдачи a, если средняя температура воздуха tж = 100 °C.
Определяем теплофизические параметры воздуха при его температуре:
n = 23,13·10-6 м2/с; l = 0,0321 Вт/(м2·град).
Определяем режим движения воздуха
. Режим — турбулентный.
Для расчета теплоотдачи используем упрощенную зависимость (13.141):
,
а так как
, отсюда
Вт/(м2·град).