По определению Вавилова, люминесцентным называется излучение, избыточное над тепловым. Люминесцентная спектроскопиярассматривает флуоресценцию и фосфоресценцию. Механизм фосфоресценции поясняется
рисунком.
Флуоресценция наблюдается на приборе активного типа.

Основные законы люминесценции определяют принципы люминесцентных исследований.
1.
Закон Стокса: длина волны фотолюминесценции не меньше длины волны возбуждающего света:
hνвозб ≥ hνизл,
т.е. νвозб ≥ νизл, или λизл ≥ λвозб
Однако, возможна антистоксовая люминесценция. Механизм представлен на рисунке.
2. Правило Коши. Спектр люминесценции не зависит от спектра и энергии возбуждения.
3. Правило Левшина. Спектры флуоресценции и поглощения зеркально симметричны.
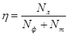
4. Закон Вавилова. Квантовый выход фотолюминесценции не зависит от энергии возбуждающих люминесценцию квантов и определяется только веществом.
Следствие закона Вавилова:
Спектр возбуждения фотолюминесценции совпадает со спектром собственного поглощения люминесцирующего вещества.
Очевидно:
.
Отсюда следует:
.
Применяется формула Штерна – Фольмера:
;
По люминесцентному свечению различают вещества:
0,1≤ η ≤ 1 – люминофоры;
10-2< η< 10-1 – слабо люминесцирующие;
η < 10-2 – практически не люминесцирующие.
29. Количественный люминесцентный анализ
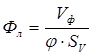
Типовая структура флуориметра показана на рисунке.

1 – источник излучения;
2 и 5– спектральные элементы (монохроматоры);
3 – корпус;
4 – люминесцирующий образец; 6 – приемник излучения;
7 – электрическая схема обработки.
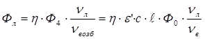
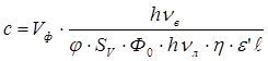
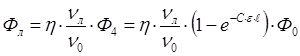
Принципы анализа основаны на соотношениях:
;
или

Откуда
;
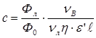
В итоге, при фотоэлектрической регистрации:
.
Воспользуемся точным выражением для поглощаемой мощности:
;
Решая это уравнение, получим

Для амплитудного способа регистрации потока:
,
тогда: 