Общие сведения. Электродинамические (ферродинамические) приборы состоят из электродинамического (ферродинамического) измерительного механизма с отсчетным устройством и измерительной цепи. Эти приборы применяют для измерения постоянных и переменных токов и напряжений, мощности в цепях постоянного и переменного тока, угла фазового сдвига между переменными токами и напряжениями..Электродинамические приборы являются наиболее точными электромеханическими приборами для цепей переменного тока.
Измерительный механизм. Вращающий момент в электродинамических и ферродинамических измерительных механизмах возникает в результате взаимодействия магнитных полей неподвижных и подвижной катушек с токами.
Электродинамический измерительный механизм (рис.) имеет две последовательно соединенные неподвижные катушки1, разделенные воздушным зазором, и подвижную катушку 2. Ток к подвижной катушке подводится через пружинки, создающие противодействующий момент.
Успокоение создается воздушным или магнитоиндукционным успокоителем.
При протекании токов в обмотках катушек измерительного механизма возникает момент, поворачивающий подвижную часть.
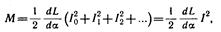
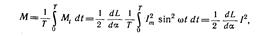
Вращающий момент имеет постоянную и гармоническую составляющие. Отклонение подвижной части обычно применяемого электродинамического измерительного механизма при работе его в цепи переменного тока промышленной и более высокой частоты определяется постоянной составляющей момента.
В электродинамических логометрических механизмах подвижная часть состоит из двух жестко скрепленных между собой под определенным углом подвижных катушек, находящихся в поле неподвижных катушек. Токи к подвижным катушкам подводят с помощью безмоментных токоподводов. Анализ работы механизма показывает, что угол отклонения подвижной части определяется отношением токов через подвижные катушки и зависит от фазовых сдвигов этих токов относительно тока через неподвижную катушку.
На работу электродинамических измерительных механизмов сильное влияние оказывают внешние магнитные поля, так как собственное поле механизма невелико. Для защиты от внешних магнитных полей применяют магнитное экранирование. Иногда применяют так называемые астатические измерительные механизмы, на которые внешние поля действуют значительно слабее.
Особенности электродинамических измерительных механизмов придают электродинамическим приборам определенные положительные свойства. Электродинамические измерительные механизмы работают как на постоянном, так и на переменном токе (примерно до 10 кГц.) с высокой точностью и обладают высокой стабильностью своих свойств.
Однако электродинамические измерительные механизмы имеют низкую чувствительность по сравнению с магнитоэлектрическими механизмами. Поэтому приборы с электродинамическими механизмами обладают большим собственным потреблением мощности. Электродинамические измерительные механизмы имеют малую перегрузочную способность по току, относительно сложны и дороги.
Ферродинамический измерительный механизм отличается от электродинамического механизма тем, что его неподвижные катушки имеют магнитопровод из магнитомягкого листового материала, позволяющий существенно увеличивать магнитный поток, а следовательно, и вращающий момент. Однако использование ферромагнитного сердечника приводит к появлению погрешностей, вызванных его влиянием, например погрешностей от нелинеиности кривой намагничивания, от гистерезиса при работе на постоянном токе и т. д. Ферродинамические измерительные механизмы мало подвержены влиянию внешних магнитных полей, так как имеют достаточно сильные собственные поля.
Амперметры и вольтметры. В электродинамических и ферро-динамических амперметрах для токов до 0,5 А неподвижные и подвижная катушки измерительного механизма соединяют последовательно. В этом случае токи в катушках равны.Для получения линейной зависимости, а следовательно равномерной шкалы, у электродинамических амперметров так располагают неподвижные катушки, чтобы зависимость приближалась к линейной. Практически у электродинамических амперметров шкала равномерна в пределах 25—100 % ее длины.
При последовательном включении катушек температурная и частотная (до 2000 Гц) погрешности электродинамических амперметров незначительны.
В амперметрах на токи свыше 0,5 А подвижную и неподвижные катушки включают параллельно. В этом случае осуществляют компенсацию температурной и частотной погрешностей, возникающих из-за перераспределения токов в катушках при изменении температуры и частоты. Компенсацию температурной погрешности осуществляют подбором сопротивлений добавочных резисторов из манганина и меди, включаемых в каждую из параллельных ветвей так, чтобы температурные коэффициенты сопротивления этих ветвей были одинаковыми. Компенсацию частотной погрешности выполняют включением добавочных катушек индуктивности или конденсаторов в соответствующие ветви схемы так, чтобы были равными постоянные времени этих ветвей.
Электродинамические амперметры чаще всего выпускают на два диапазона измерений. Изменение пределов при этом производится путем включения неподвижных катушек последовательно или параллельно. Для расширения пределов измерения используют измерительные трансформаторы тока.
Электродинамический вольтметр состоит из электродинамического измерительного механизма и добавочного резистора стабильного сопротивления, причем все катушки механизма и добавочный резистор включены последовательно.
В многопредельных вольтметрах последовательно с измерительным механизмом включается секционированный добавочный резистор. Поэтому многопредельные вольтметры снабжают переключателем пределов или несколькими входными зажимами. Для увеличения верхнего предела измерений вольтметра применяют измерительные трансформаторы напряжения.
В электродинамических вольтметрах при изменении температуры возникает температурная погрешность от изменения сопротивления цепи вольтметра. В вольтметрах с малым верхним пределом измерений температурная погрешность может достичь недопустимой величины. Поэтому в таких вольтметрах уменьшают сопротивление катушек, уменьшая число витков, что приводит к увеличению тока, потребляемого прибором. Частотная погрешность, вызванная изменением Z прибора, компенсируется путем шунтирования части добавочного резистора конденсатором.
Основная область применения электродинамических амперметров и вольтметров — точные измерения в цепях переменного тока, чаще всего в диапазоне частот от 45—50 Гц до тысяч герц. Их применяют также в качестве образцовых при поверке и градуировке других приборов.
Промышленность выпускает электродинамические миллиамперметры и амперметры с верхними пределами от 1 мА до 10 А на частоты до 10 кГц, многопредельные вольтметры с верхними пределами от 1,5 до 600 В на частоты до 5 кГц. Классы точности амперметров и вольтметров 0,1; 0,2; 0,5.
Область применения ферродинамических амперметров и вольтметров — измерения переменных токов и напряжений в узком диапазоне частот при тяжелых условиях эксплуатации.
Ваттметры. Электродинамический (ферродинамический) измерительный механизм лежит в основе электродинамического (ферродинамического) ваттметра.
В этом случае (см. рис., а) последовательно соединенные неподвижные катушки 1 включают последовательно с объектом Z, потребляемая мощность которого измеряется. Подвижная катушка 2 с добавочным резистором включается параллельно объекту. Цепь неподвижных катушек называют последовательной цепью, а цепь подвижной катушки — параллельной цепью.
Потребляемая мощность последовательной и параллельной цепями ваттметра приводит к погрешности, зависящей от способа включения ваттметра. При измерении мощности, потребляемой объектом, возможны две схемы включения ваттметра, отличающиеся способом включения параллельной цепи (рис., а и б). Погрешности заметны лишь при измерениях мощности в маломощных цепях. Схему включения, показанную на рис. а, целесообразно использовать при измерении мощности объекта с высокоомнои нагрузкой, а схему, показанную на рис. б,— при измерении мощности объекта с низкоомной нагрузкой.
Изменение порядка включения зажимов одной из цепей ваттметра (поворот соответствующего вектора тока) ведет к изменению направлеия отклонения подвижной части измерительного механизма. Поэтому для правильного включения ваттметра. один из зажимов последовательной и параллельной цепи обозначается звездочкой («генераторный зажим»).
Электродинамические ваттметры имеют обычно несколько верхних пределов измерения по току и напряжению: чаще всего два по току, например 5 и 10 А, и три по напряжению — 30, 150 и 300 В. Для измерения мощности при больших напряжениях и токах применяют измерительные трансформаторы напряжения и тока.
Частотомеры. В электродинамических частотомерах применяют логометрический измерительный механизм. Схема включения частотомера представлена на рис..
Параметры цепи подвижной катушки подбирают так, чтобы фазовый сдвиг между током и напряжением измеряемой частоты был равен 90°.
Подбором параметров цепи неподвижной катушки, подвижной катушки и элементов L и C добиваются резонанса напряжения в этой цепи при частоте, равной среднему значению диапазона измерений частотомера. При этом угол отклонения подвижной части логометрического измерительного механизма оказывается функцией отношения реактивных сопротивлений в цепях подвижных катушекСледовательно, шкала прибора может быть градуирована в единицах частоты.
Электродинамические частотомеры выпускают для измерений частоты в узком диапазоне изменений (45—55, 450—550 Гц и т. д.) классов точности 1; 1,5.
Электродинамический фазометр с логометрическим измерительным механизмом представлен на рис..
Если фазовый сдвиг между токами равен углу между подвижными катушками логометрического механизма, то угол отклонения подвижной части прибора равен фазовому сдвигу между током и напряжением в нагрузке. Следовательно, шкала фазометра может быть градуирована в значениях угла j или cosj.
Электродинамические фазометры выпускают в виде переносных приборов с диапазоном измерений угла j, равным 0 — 90° или О — 360°, и cosj, равным 0 —1 (для индуктивной или емкостной нагрузки) классов точности 0,2; 0,5. Предназначаются они, в основном, для работы в цепях промышленной частоты.
ЭЛЕКТРОМАГНИТНЫЕ ПРИБОРЫ
Общие сведения. Электромагнитные приборы состоят из электромагнитного измерительного механизма с отсчетным устройством и измерительной цепи. Они применяются для измерения переменных и постоянных токов и напряжений, для измерения частоты и фазового сдвига между переменными током и напряжением. Из-за относительно низкой стоимости и удовлетворительных характеристик электромагнитные приборы составляют большую часть всего парка щитовых приборов.
Измерительный механизм. Вращающий момент в этих механизмах возникает в результате взаимодействия одного или нескольких ферромагнитных сердечников подвижной части и магнитного поля катушки, по обмотке которой протекает ток. В настоящее время наибольшее применение получили конструкции измерительных механизмов с плоской катушкой, с круглой катушкой и с замкнутым магнитопроводом. На рис. показан механизм с плоской катушкой.
На рисунке: / — ось; 2 — стрелка; 3 — катушка, по обмотке которой протекает ток; 4 — эксцентрически укрепленный на оси ферромагнитный (пермаллоевый) сердечник;
5 — пружины для создания противодействующего момента; 6 — воздушный успокоитель.
При протекании тока через катушку сердечник намагничивается и втягивается в зазор катушки.
Вращающий момент
![]() |
где wm — энергия электромагнитного поля катушки с сердечником; L — индуктивность катушки, зависящая от положения сердечника.
Вращающий момент имеет постоянную и гармоническую составляющие. Отклонение подвижной части обычно применяемого электромагнитного измерительного механизма при работе его в цепи переменного тока промышленной и более высокой частоты определяется постоянной составляющей момента, которая может быть записана в таком виде:
.
где / — действующий ток.
При искаженной форме тока
где / — квадрат искаженного по форме действующего тока; /о, /I, /2, •••— постоянная и гармонические составляющие тока.
Если противодействующий момент создается упругими элементами, то угол поворота подвижной части
![]() |
Из выражения следует, что зависимость угла отклонения подвижной части от тока нелинейна и что поворот подвижной части одинаков как при постоянном токе, так и при переменном токе, имеющем действующее значение, равное значению постоянного тока. Линейную зависимость угла отклонения от тока получают для значительной части рабочего диапазона отклонения а, изготовляя сердечник специальной формы.
В электромагнитных логометрических механизмах имеются две катушки и два сердечника. Сердечники укреплены на одной оси. Ток, протекающий через одну катушку, создает момент Мвр, а ток, протекающий через вторую катушку,— момент М пр, направленный навстречу Мвр. При пропускании токов подвижная часть поворачивается до тех пор, пока момент М пр не станет равным Мвр.
Электромагнитные измерительные механизмы просты по конструкции и как следствие дешевы и надежны в работе. Они способны выдержать большие перегрузки, что объясняется отсутствием токоподводов к подвижной части. Электромагнитные измерительные механизмы могут работать как в цепях постоянного, так и переменного тока (примерло до 10 кГц).
Малая точность и низкая чувствительность этих механизмов отрицательно сказывается на точности и чувствительности электромагнитных приборов. На работу электромагнитных измерительных механизмов сильное влияние оказывают внешние магнитные поля. Для устранения их влияния применяют магнитное экранирование. Иногда применяют так называемые астатические измерительные механизмы, на которые внешние поля действуют значительно слабее, чем на обычные механизмы.
Амперметры и вольтметры. В электромагнитных амперметрах катушка измерительного механизма включается непосредственно в цепь измеряемого тока.
Щитовые амперметры выпускают с одним диапазоном измерении, переносные могут иметь несколько диапазонов измерении. Выбор диапазонов измерении производят путем переключения секций обмотки катушки, включая их последовательно или параллельно. При использовании амперметров в цепях переменного тока для расширения диапазона измерений используют измерительные трансформаторы тока.
Шкала электромагнитного амперметра обычно равномерна (в пределах 25—100 %), что достигается подбором формы сердечника.
В электромагнитных амперметрах при изменении температуры возникает температурная погрешность, обусловленная изменением упругости пружинок, создающих противодействующий момент. Эта погрешность существенна для амперметров классов точности 0,2; 0,1.
При использовании амперметров в цепях постоянного тока появляется погрешность от гистерезиса намагничивания сердечника, проявляющаяся в неодинаковых показаниях при увеличении и уменьшении измеряемого тока. При изменении частоты измеряемого тока в амперметрах возникает частотная погрешность вследствие действия вихревых токов в сердечнике и других металлических частях измерительного механизма, пронизываемых магнитным потоком катушки.
Электромагнитный вольтметр состоит из электромагнитного измерительного механизма и включенного последовательно добавочного резистора со стабильным сопротивлением, предназначенного для обеспечения необходимого диапазона измерений.
Изменение верхних пределов измерений осуществляется путем подключения различных добавочных резисторов, а также с помощью измерительных трансформаторов напряжения.
Угол отклонения подвижной части электромагнитного вольтметра,
где Z — полное сопротивление цепи вольтметра, т. е. сопротивлений катушки и добавочного резистора.
Шкала электромагнитного вольтметра в пределах 25— 100 % обычно равномерна, что достигается подбором формы сердечника.
В электромагнитных вольтметрах при изменении температуры возникает температурная погрешность, обусловленная изменением сопротивления цепи вольтметра. В вольтметрах с малым верхним пределом измерения температурная погрешность может достигать больших значений.
Вольтметры имеют погрешность от гистерезиса намагничивания сердечника при использовании в цепях постоянного тока.
Частотная погрешность у электромагнитных вольтметров выше, чем у электромагнитных амперметров, что объясняется зависимостью сопротивлении катушки и добавочного резистора от частоты.
Основное назначение электромагнитных амперметров и вольтметров — измерения в цепях переменного тока промышленной частоты. Наибольшее распространение получили щитовые приборы классов точности 1,0; 1,5 и 2,5. Переносные приборы имеют более широкий частотный диапазон, чем щитовые и класс точности 0,5.
Промышленность выпускает переносные амперметры класса точности 0,5 с верхними пределами измерений от 5 мА до 10 А на частоты до 1500 Гц; щитовые однопредельные амперметры классов точности 1,0; 1,5; 2,5 на токи до 300 А со встроенными трансформаторами тока и до 15 кА с наружными трансформаторами тока; переносные вольтметры класса точности 0,5 с верхними пределами измерений от 1,5 до 600 В на частоты 45—100 Гц и классов точности 1 и 2,5 на частоты до 10 кГц; щитовые вольтметры классов точности 1,0; 1,5; 2,5 с верхними пределами измерений от 0,5 до 600 В непосредственного включения и до 450 кВ с трансформаторами напряжения на частоты в диапазоне от 45 до 1000 Гц.
Частотомеры. Схема электромагнитного частотомера на основе логометрического измерительного механизма представлена на рис.
При изменении частоты токи изменяются неодинаково, так как характер сопротивлений цепей этих токов различен. Отношение этих токов, а следовательно, и показания прибора зависят от частоты. Частотомеры этого типа выпускают на узкий диапазон измеряемых частот, например 45—55, 450—550 Гц; классы точности 1,5; 2,5.








