Рассмотрим процесс автоматической смены инструмента на токарном станке с ЧПУ. На токарных станках инструментальные магазины выполняют в виде револьверной головки, в гнездах (позициях) которой размещаются от 6 до 12 инструментов.
Смена инструмента производится путем вращения головки относительно оси, расположенной в горизонтальной или вертикальной плоскости. Направление поворота определяется путем выбора меньшей величины угла между исходной и заданной позицией. При выполнении поворота головка раскрепляется, а по завершении фиксируется и зажимается. Для контроля всех операций установлены датчики – конечные выключатели в механизме зажима и разжима, путевые датчики позиций, конечный выключатель механизма фиксации.
Цикл инициируется вводом команды Т<двухзначное число>, а начинается при подаче команды М06 и наличии сигналов с других автоматических узлов, разрешающих работу, например: “рабочая зона закрыта защитным кожухом”, “ось поворота головки удалена от других узлов станка” и др.
|
|
|
Автоматический цикл состоит из трёх параллельных процессов:
· А – прием Т-команды и М-команды, запуск цикла, индикация позиции;
· В – управление процессом разжима и зажима револьверной головки;
· С – управление процессом поворота головки и поиска заданной позиции.
В каждом процессе производится анализ условий, формирование управляющих сигналов и реализация событий.
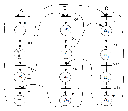
Цикл автоматической смены инструмента может быть смоделирован сетью Петри, приведенной на рис. 3.12.

Рисунок 3.12 – Сеть Петри цикла автоматической смены инструмента
Определим условия (места) и события (переходы) в каждом процессе.
Процесс А начинается с ввода команды Т, которая указывает код позиции инструмента. Процесс анализирует код задания и фактически установленную позицию, то есть определяет необходимость цикла смены.
Далее в переходе х1 формируется сигнал «Цикл задан» и фишка перемещается в место ожидания команды М06.
После поступления команды М06 срабатывает переход х2 и фишка перемещается в место
с условиями выполнения цикла:
· номер позиции инструмента задан;
· блокировки запуска процесса В нет.
Условия для срабатывания перехода х3, формирующего сигналы на панель оператора о выполнении Т-команды, наступят после реализации процесса В.
В процессе В при наличии условий «головка зажата» а также «запуск процесса В разрешен» срабатывает переход х4 и фишка переходит в место
, где анализируется наличие команды разжима головки. При поступлении этой команды срабатывает переход х5, фишка перемещается в место
, где формируется сигнал с конечного выключателя разжима и условия для включения процесса С.
|
|
|
Процесс С начинается с анализа условий для срабатывания перехода х8, реализующего операцию определения направления вращения:
· головка фиксирована;
· код позиции введен.
При совпадении условий (фишки в местах
,
) переход х8 срабатывает и фишка процесса С перемещается в место
с условиями для анализа направления поворота. Выбор ближайшего пути приводит к срабатыванию перехода х9 и фишка перемещается в место
анализа позиций, считываемых с путевых датчиков. При выходе в заданную позицию срабатывает переход х10 , фишка перемещается в место
анализа сигнала конечного выключателя о фиксации головки. По этому сигналу срабатывает переход х11 и фишка переходит в место
, в котором формируется сигнал разрешения зажима головки, т.е. продолжения процесса В.
Наличие фишек в
и
приводит к срабатыванию перехода х6 и выполнению операции зажима, фишка процесса В переходит в место
ожидания сигнала «головка зажата», что свидетельствует об окончании процесса В. После этого фишка перемещается через переход х7 в место
включения индикации установленного инструмента.