Он применяется на высоких и сверхвысоких частотах. Основан на использование явления электрического резонанса, возникающего в колебательном контуре.
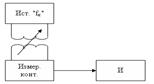
Структурная схема.
Работа схемы.
Источник напряжения измеряемой частоты через электромагнитное поле связывается с резонансным частотомером. Резонансный частотомер представляет собой высококачественный измерительный контур с точно градуированным механизмом настройки. При измерении частоты контур настраивается на резонанс по максимальному отклонению указателя индикатора (И). Отсчет значения частоты производится по шкале механизма настройки. В качестве индикатора резонанса используются полупроводниковый детектор или магнитоэлектрический микроамперметр.
Основными характеристиками резонансного частотомера являются: диапазон измеряемых частот, погрешность измерения и чувствительность. Чувствительность определяется мощностью, передаваемой частотомеру от источника сигнала.
36.
Цифровые частотомеры.






