Таким образом, обеспечивается четкая система централизованного управления.
Рассмотрим вопрос о составе управляемой системы на ремонтах. Все ее участки, цеха, службы и организации можно по функциональному признаку разделить на три группы.
К первой группе относятся непосредственные исполнители ремонтных работ. Применительно к ремонту энергоблоков — это котельный и турбинный участки цеха централизованного ремонта (ЦЦР) ГРЭС: котельный, турбинный и генераторный участки специализированного ремонтного предприятия Главэнергоремонта или энергосистемы; электроцех ГРЭС; участки предприятий котлоочистки, теплоизоляции и обмуровки; химический цех и прочие производственные организации, привлекаемые к ремонтам.
Вторая группа включает исполнителей, обеспечивающих испытания, контроль качества, вывод в ремонт и приемку из ремонта оборудования (котельный, турбинный и электроцех ГРЭС; все лаборатории ГРЭС, энергосистемы и ремонтных предприятий).
К третьей группе относятся исполнители, занятые обеспечением ремонтных работ (технический отдел, отдел материально-технического снабжения, транспортная служба, ремонтно-механическая мастерская, ремонтно-строительный цех ГРЭС).
|
|
|
Исключения из этой системы хотя бы одной организации - участника ремонта - является недопустимым, так как при этом возникает возможность несогласованных действий, которые непосредственно или косвенно отрицательно повлияют на работу других организаций, а следовательно, и на весь комплекс работ.
Особо стоит вопрос об участниках ремонта, какими являются турбинные, котельные, электромашиностроительные заводы, поставляющие отдельные узлы или части узлов для ремонтируемых агрегатов. Влияние сроков поставок оборудования заводами на проведение ремонтов имеет решающее значение, но когда необходимость в помощи заводов не может быть заранее предусмотрена, сроки поставок могут оказаться недостаточно определенными. Это обстоятельство в организации ремонтов является внешним воздействием, требующим учета и внимания. Однако именно при таких обстоятельствах большое значение приобретает четкая организация ремонтного процесса и гибкость системы управления.
При всех обстоятельствах организация ремонтных работ должна обеспечить наиболее раннее выявление дефектов узлов и деталей, а согласование сроков поставок оборудования должно производиться с возможно большей определенностью и достоверностью.
В управляемой системе требуется оперативное подчинение управляющей системе всех ответственных исполнителей ремонта вне зависимости от административного и ведомственного подчинения и принадлежности последних.
|
|
|
Ответственными исполнителями будем называть руководителей цехов, участков, служб и отделов, являющихся исполнителями в ремонтном процессе, или лиц из инженерно-технического состава этих подразделений, на которых возложена непосредственная ответственность за выполнение или обеспечение данного ремонта.
Управляющая система формируется из инженерно-технических работников, относящихся к организации, которая в силу порядка, сложившегося на данной ГРЭС или в данной энергосистеме, сосредоточивает у себя наибольшую часть функций руководства ремонтами как в техническом, организационном, так и в экономическом отношении. Управляющая система в ремонтном производстве не должна быть большой и многочисленной. В этом должны помочь необходимые средства управления.
Централизация управления не только не исключает, но всемерно способствует проявлению инициативы и самостоятельности каждого ответственного исполнителя, установлению контактов между разными исполнителями для обеспечения текущей координации действий.
Больше того, централизация допускает самоуправление в ограниченных коллективах ремонтников, выполняющих работы на изолированных участках и не оказывающих непосредственного влияния на решение основной комплексной задачи. За управляющей системой при этом остается лишь периодический контроль и получение информации о ходе работ и принимаемых решениях. При ремонте энергоблоков на блочных ГРЭС иерархическая структура управляющей системы состоит из двух звеньев - руководителя ремонтом комплекса (энергоблока) и трех руководителей ремонтами агрегатов - котла, турбины и генератора вместе с электрическим оборудованием энергоблока.
Все возникающие в процессе управления задачи решаются по возможности каждым из руководителей ремонтами агрегатов, и лишь ограниченное количество вопросов поступает на рассмотрение руководителя ремонтом энергоблока.
При такой организации управление ремонтом не может не быть четким и оперативным, а руководитель ремонтом, которым на блочных станциях является заместитель главного инженера ГРЭС по ремонтам, может сочетать управление ремонтом энергоблока и ремонтами на ГРЭС в целом.
10.3. МОДЕЛИРОВАНИЕ ПРОЦЕССОВ КАПИТАЛЬНОГО РЕМОНТА. ЛИНЕЙНЫЕ И СЕТЕВЫЕ МОДЕЛИ
Метод моделирования нашел широкое распространение в различных областях науки, техники и организации производства. Моделирование организационных систем заключается в построении модели, обладающей свойствами и соотношениями параметров, подобным моделируемой системе. С помощью модели оказывается возможным имитировать работу системы, получать и анализировать соответствующие показатели и на этой основе принимать решения, направленные на оптимизацию функционирования реальной системы.
Однако модель не может воспроизвести все соотношения и особенности реальной системы, так как во всех случаях представляет собой упрощенную (хотя далеко не всегда простую) имитацию моделируемой системы. В то же время модель окажется только тогда по-настоящему полезной, если в ней будут правильно отражены основные свойства и характеристики реальной системы.
Линейные модели. В течение длительного периода времени в качестве моделей ремонтных процессов применялись и в значительной степени используются в настоящее время линейные модели (календарные или ленточные графики).
В линейных графиках производственный процесс делится на отдельные операции, изображаемые в виде полос в масштабе времени построчно, причем начало последующей операции совпадает с окончанием предыдущей. Последовательный (и параллельный, если эти работы независимы) набор всех работ позволяет подсчетом по горизонтали определить продолжительность всего комплекса работ, а подсчетом по вертикали – количество ежедневно занятого на работах персонала и механизмов.
|
|
|
В целом линейный график представляет собой графическую модель ремонтной системы, относящуюся к группе аналоговых моделей. В нем длина полос, соответствующих отдельным работам, отражает их продолжительность, а цвет полос может соответствовать условным обозначениям организаций-исполнителей работ или рабочих разной специальности.
Этот метод моделирования, применяемый при ремонтах сравнительно несложного оборудования, оказался весьма несовершенным для ремонтов современного мощного энергетического оборудования, особенно энергоблоков электростанций.
Несовершенство линейных графиков в качестве моделей ремонтов заключается в том, что они не способны отразить основные свойства моделируемой ремонтной системы.
Линейные графики не отражают связи, определяющие зависимости одной работы от другой. Считать, что эти связи очевидны и определяются в графике стыками работ при их расстановке по времени, нельзя, так как смещение начала работ по времени возникает не только по технологическим, но и по организационным причинам.
В линейных графиках нельзя отразить детальные операции и работы. Для каждой работы в таком графике отводится отдельная строка. Например, график из 200 работ при высоте строки в 10 мм займет по высоте 2 м. Совершенно очевидно, что остается возможность составлять только очень укрупненный линейный график, вплоть до того, что отдельные работы такого графика будут означать в целом ремонт одного узла. Однако отсутствие детального планирования исключает возможность конкретного управления и, следовательно, его централизации.
В линейных графиках предусмотрено, что все работы начинаются и заканчиваются в определенное, установленное время; это условие является основным для линейных графиков, поэтому они статичны, детерминированы и приспособлены для моделирования систем с такими же признаками.
|
|
|
Линейная модель не может выполнить функций инструмента для анализа новых ситуаций и принятия оптимальных решений по корректировке плана. По существу в линейный график сколько-нибудь значительные изменения плана внести нельзя, в этом случае его необходимо составлять заново, а новый линейный график лишь зафиксирует их и не надолго, до нового изменения условий ремонта.
В связи с этим в практической работе используют линейные графики только на этапе составления первоначального плана. На этапе управления линейные графики в лучшем случае служат только для отражения фактического состояния работ.
Резюмируя все изложенное выше, можно сказать, что из-за существенного несоответствия свойства линейных моделей характеру моделируемых ремонтных комплексов работ линейные модели не могут быть использованы по прямому назначению в качестве инструмента управления. Поэтому в качестве неотложной задачи возникает необходимость обеспечения системы, управляющей ремонтом, таким аналитическим расчетным инструментом управления и такой моделью системы, которые соответствовали бы по своим характеристикам свойствам моделируемой ремонтной системе.
Сетевые модели. Поиски более совершенных методов моделирования сложных, динамичных и вероятностных систем привели к использованию сетевых моделей (сетевых графиков).
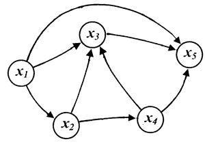
Графическая сеть, используемая в качестве сетевой модели, представляет собой абстрактную математическую категорию - ориентированный граф и является предметом изучения топологического раздела математики - теории ориентированных графов.
Системы, использующие ориентированные графы в качестве моделей, называются системами сетевого планирования и управления (системы СПУ). Пример ориентированного графа изображен на рис. 10.2. Окружности в графе являются его вершинами, а стрелки - ориентированными дугами.







