В интересах бизнеса также требуется обращать внимание на атрибуты, не являющиеся уникальными, но использующимися для поиска информации в таблице. Эти атрибуты называются инверсными входами. Инверсный вход – это атрибут или группа атрибутов, которые используются для доступа к сущности (так, как если бы они были первичными ключами), однако не обязательно находят только один экземпляр.
К примеру, организации может потребоваться найти служащего по имени, также как и по номеру служащего, несмотря на то что, такой поиск может привести к получению одновременно нескольких записей. Когда вы назначите атрибут инверсным входом, после его названия будет стоять. En.У объекта, как показано ниже, может быть несколько инверсных входов.

Связи и внешние ключи (Relationships and Foreign Key Attributes)
Если сущности в диаграмме ERwin связаны, связь передает ключ (или набор ключевых атрибутов) дочерней сущности. Эти атрибуты называются внешними ключами. Внешние ключи определяются как атрибуты первичных ключей родительского объекта, переданные дочернему объекту через их связь.Передаваемые атрибуты называются мигрирующими.
|
|
|
Внешние ключи обозначаются в модели символами (FK), стоящими после названия.

7. Идентификация взаимосвязи в IDEF1X(вверху) и IE (внизу).

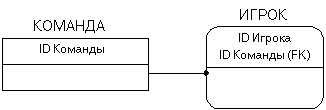
8. Объект с мигрировавшим внешним ключом (FK).
Классификация сущностей в IDEF1X. Зависимые и независимые сущности.
Зависимые и независимые сущности.
При разработке вашей модели, вы можете обнаружить сущности, уникальность которых зависит от значений атрибута внешнего ключа. Для этих сущностей (для уникального определения каждой сущности) внешний ключ должен быть частью первичного ключа дочернего объекта (находящегося над линией).
Дочерняя сущность, уникальность которой зависит от атрибута внешнего ключа, называется зависимой сущностью. В примере (рис.8) ИГРОК является зависимой сущностью потому, что его идентификация зависит от сущности КОМАНДА. В IDEF1X зависимые сущности представлены в виде закругленных прямоугольников.
Зависимые сущности далее классифицируются на сущности, которые не могут существовать без родительской сущности (зависимость существования, existence dependent) и сущности, которые не могут быть идентифицированы без использования ключа родителя (сущности, зависящие от идентификации). Сущность ИГРОК принадлежит ко второму типу зависимых сущностей, так как ИГРОКИ могут существовать и без КОМАНДЫ.
Напротив, существуют ситуации в которых сущность зависит от существования другой сущности. Рассмотрим две сущности: ЗАКАЗ, используемый для отслеживания заказов покупателей, и ЭЛЕМЕНТ СПИСКА, который отслеживает отдельные элементы в ЗАКАЗе. Зависимость между этими двумя объектами может быть выражена в качестве ЗАКАЗА <содержащего> один или несколько ЭЛЕМЕНТОВ СПИСКА. В этом случае, ЭЛЕМЕНТ СПИСКА зависит от существования ЗАКАЗА.
|
|
|
Объекты, не зависящие при идентификации от других объектов в модели, называются независимыми объектами. В вышеописанном примере объект КОМАНДА можно считать независимым объектом. В IE и IDEF1X независимые объекты представлены в виде прямоугольников.

9. Не идентифицирующая взаимосвязь в IDEF1X (вверху) и IE (внизу).






