Достаточно часто то или иное действие должно быть выполнено в зависимости от значения логического выражения, выступающего в качестве условия. В таких случаях используется развилка.
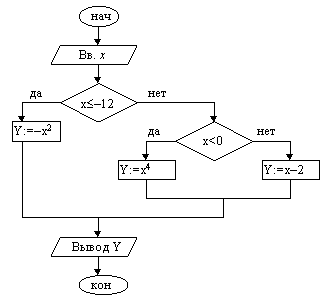
Пример 1. Вычислить значение функции

| 1. Ввести x. 2. Если x£–12, то y:=–x2 3. Если x<0, то y:=x4 4. y:= x–2 5. Вывести y 6. Конец |
При тестировании алгоритмов с развилкой необходимо подбирать такие исходные данные, чтобы можно было проверить все ветви. В приведенном выше примере должно быть по крайней мере три тестовых набора.
Пример 2. Дано натуральное число n. Если число нечётное и его удвоение не приведет к выходу за 32767 (двухбайтовое целое число со знаком), удвоить его, иначе — оставить без изменения.
Чтобы удовлетворить условию удвоения, число n должно быть нечетным и меньше 16384.
| 1. Ввести число n 2. Если число n нечетное и меньше 16384, то n:= n * 2 3. Вывод n 4. Конец |
Рассмотренный пример иллюстрирует неполную развилку. Также следует отметить, здесь логическое выражение, являющееся условием, содержит 2 операнда.






