10.1.
Лекция 10. Четыре модели рынка
1. Четыре модели рынка Спрос на продукт конкурентного продавца. Виды дохода.
2. Равновесие конкурентной фирмы в краткосрочном периоде
Различают 4 рыночные структуры:
1.
совершенная или чистая конкуренция (полиполия)
2. чистая монополия несовершенная
3. олигополия конкуренция
4. монополистическая конкуренция
Основные признаки совершенной конкуренции:
1. множество мелких покупателей и продавцов
2. однородность продукта, т.е. товары идентичны и взаимозаменяемы.
Пример: с\х продукты, валюта или акции.
3. покупатель и продавец не влияют на рыночную цену, они являются «ценополучателями.»
4. игнорирование соперников, независимо действующих на рынке.
5. отсутствие условий для ценовой и неценовой конкуренции
6. полная информированность покупателей и продавцов о состоянии рынка. Информация распространяется быстро и ничего не стоит.
7. рациональное поведение всех участников рынка.
8. мобильность производственных ресурсов
9. свобода вхождения в рынок и выхода из него.
Основные признаки чистой монополии:
1. Одна фирма и много покупателей.
2. уникальность продукта, т.е. нет близких заменителей (электроэнергия)
3. значительные экономические, юридические и технологические барьеры для
вхождения на рынок.
4 полный контроль за объемом производства и значительная власть над ценой. 5информированость фирмы о состояние рынка.
Основной источник монопольной власти – это наличие барьеров входа.
Виды барьеров для вступления на рынок.
1. экономические преимущества крупного производства, т.е. существование положительного эффекта масштаба.
2. лицензирование, какого – либо вида деятельности.
3. патенты и авторские права.
4. собственность на уникальные природные ресурсы.
5. нечестная конкуренция. (подкуп должностных лиц для получения лицензии, научно-технический и промышленный шпионаж, демпинговые цены, антиреклама, подделка торговой марки и упаковки).
Виды монополии:
1. Естественная монополия – это отрасль, в которой долгосрочные средние издержки достигают минимума, только тогда, когда одна фирма обслуживает весь рынок целиком.
Пример: телефонная связь, водохозяйственная система, метро и т.д.
2. закрытая или легальная монополия (основанием служат патенты, авторские права, торговые знаки).
3. открытая или нелегальная монополия (нет легальной защиты от конкуренции)
4. монопсония – рынок с большим количеством продавцов и лишь с один покупателем.
5. Картель – объединение фирм, какой – либо отрасли для ведения единой экономической политики.
Показатели монополистической власти.
Монополистическая власть является величиной обратной эластичности спроса. Опираясь на это положение, французский экономист Лернер в1934г. предложил следующий индекс:
Р – МС 1
I L = Р = Еd
Данный индекс изменяется от 0 до 1, чем больше значение принимает I L, тем больше монополистическая власть. При совершенной конкуренции данный показатель равен 0.
Для определения степени концентрации рынка используется индекс Хиршмана – Херфиндаля, который рассчитывается как сумма квадратов рыночных. долей всех фирм отраслей.
I = S12 + S22 +…+ Sn2
где S1 – удельный вес самой крупной фирмы и т.д.
Данный индекс принимает тем меньшее значение, чем больше фирм работает на данном рынке.
Основные признаки олигополии:
1. Незначительное количество фирм (как правило, не более 10)
2. продукт может быть стандартным (металлургическая. промышленность),так и дифференцированным (автомобильная промышленность)
3. значительные барьеры для вхождения на рынок (положительный эффект масштаба, лицензирование, затраты на рекламу)
4. значительная власть над ценой
5. неценовая конкуренция преобладает над ценовой.
6. значительная взаимозависимость производителей.
При олигополии фирмы могут вести себя следующим образом:
-не учитывается поведение других производителей, как при совершенной конкуренции (некооперативное поведение).
-пытаться предвидеть поведение других производителей
-вступать в тайный сговор с другими фирмами (кооперативное поведение).
Основные признаки монополистической конкуренции:
1. большое число производителей, причем все они ориентированы на производстве одной и той же группе товаров.
2. Дифференциация продукта. Дифференциация товара основана на местоположении, условии продаж, рекламе, возможности купить в рассрочку и т.д.
3. обладание некоторой доли монополистической власти в результате дифференциации товара.
4.
существование неценовой конкуренции и рекламной деятельности.
5. устойчивость клиентуры, т.е. если цена возрастает, то фирма не теряет всех своих клиентов
6. игнорирование соперников независимо действующих на рынке.
7. отсутствие барьеров для вхождения на рынок.
Совершенная конкуренция и чистая монополия- это идеальные рыночные структуры (абстракция). А монополистическая конкуренция и олигополия это реальные рыночные структуры.
Примерами совершенной конкуренции являются сельскохозяйственные и финансовые рынки.
Примерами монополии являются естественные монополии.
Олигополия – это отрасль тяжелой промышленности, а монополистическая конкуренция – это сфера услуг и легкая промышленность.
10.2 Равновесие конкурентной фирмы в краткосрочном периоде.
Отдельная конкурентная фирма может влиять только на производства, поэтому необходимо определить при каком объеме продукции фирма максимизирует прибыль.
1.Правило максимизации прибыли:
MR = MC, при этом цена больше средних переменных издержек (AVC).
Если предельная выручка больше предельных издержек, то общая выручка возрастает и у фирмы появляется желание расширить производство.Если предельная выручка меньше предельных затрат, то общая выручка снижается и фирма стремится к сокращению производства. И только при равенстве этих предельных значениях фирма не стремиться к изменению производства и получает максимальную прибыль. 
2. Случай минимизации убытков.
ATC > P > min AVC
Если Р. < ATC, то это означает, что фирма несет убытки, однако если цена > AVC, то этой суммы хватит на покрытие всех переменных издержек и части постоянной, в этом случае убытки меньше постоянных издержек. 
3. Случай закрытия фирмы.
P < min AVC
В этом случае фирме выгоднее закрыться и платить постоянные затраты из своего кармана. 
1.Теория заработной платы
2. Рынок земли Виды рентных платежей
3.Физический капитал и время. Процентная ставка.
4. Предпринимательский доход. Способы снижения риска в бизнесе.
1. Заработная плата – это цена труда.
Номинальнаязаработная плата – это сумма денег за единицу рабочего времени.
Реальная заработная плата - это количество товаров и услуг, которые можно купить на номинальную заработную плату.
Дифиринциация заработной платы зависит от следующих факторов :
1. классификация и затраты на подготовку
2. уровень жизни в стране или в данном регионе
3. состояние экономической конъюнктуры (подъем или спад)
4. условия и характер труда
5. географические условия и дискриминация.
6. удача, везение, умение оказаться в нужном месте в нужное время.
Человеческий капитал - это общие и специальные знания, врожденные. и приобретенные способности, профессиональный опыт, трудовые навыки, внешность, здоровье и мотивация.
Особенности человеческого капитала:
1. неотделим от личности своего носителя не может быть предметом купли-продажи, залогом.
2. подвержен износу с обратным знаком.
3. по мере накопления человеческого капитала его доходность может возрастать, а не снижается.
4. выступ ключевым ресурсом при его воспроизводстве в следующем. поколении.
Инвестиции в человеческий капитал- это затраты на образование, производственную. подготовку.поиск информации на рынке, рождения и воспитания детей.
2.Земля является главным фактором производства в сельском хозяйстве.
Особенностью земли как экономического ресурса является ее ограниченность. В отличие от капитала земля неподвижна.
Факторами, влияющими на предложение земли, являются плодородие и местоположение. Поэтому когда мы говорим об ограниченности земли, мы имеем в виду землю определенного качества, расположенную в определенном месте. Естественно, что количество хорошей земли вокруг конкретного крупного города или даже отдельной фермы ограничено вдвойне: и по качеству, и по количеству.
Плодородие, например, зависит от качества почвы, климата, характера применяемой техники, трудовых навыков и производственного опыта тех, кто работает на земле, и т. д.
Фиксированный характер предложения земли означает, чтокривая предложения абсолютно неэластична. Если на оси абсцисс отложить количество акров земли, а на оси ординат — цену земли, то кривая предложения земли будет представлять линию, параллельную оси ординат.
Это означает, что предложение земли не может быть увеличено даже в условиях значительного роста цен на землю.
Спрос на землю неоднороден.
Он включает два основных элемента — сельскохозяйственный и несельскохозяйственный спрос:
D = Dсх + Dнесх,
где D — совокупный спрос;
Dсх — сельскохозяйственный спрос;
Dнесх — несельскохозяйственный спрос.
Слово "рента" в переводе с французского (фр. rente от лат. reddita) означает "отданная
Экономическая рента-это экономический доход собственника ресурса предложение, которого строго ограничено. Экономическую ренту можно назвать рентой редкости, она составляет значений часть дохода спортивной звезд. топ-модели, выдающихся музыкантов, собственника уникального. виноградника и т.д.
Земельная рента- это доход собственника земли и других природных ресурсов, предложение, которого абсалютно не эластично
Дифиринциальная рента-это разница между обществеными и индивидуальными цеными производства, т.е. разновидность экономической прибыли
3.Капитал отличается от земли тем, что он производится вновь и вновь, то есть, воспроизводится.
Существуют три основных формы капитала:
-физический капитал.
-человеческий к.апитал
-финансовый к.апитал
Основной капитал-эта доля производительного капитала, которая полностью в течение длительного срока участвует в производстве. Но она переносит свою стоимость на готовые изделия постепенно и возвращается к бизнесмену в денежной форме по частям. К нему относятся средства труда - заводские здания, машины, оборудование и т.п. Они покупаются сразу, а свою стоимость переносят на созданный продукт по мере износа.
В отличие от этого оборотный капитал - другая часть производительного капитала, стоимость которой полностью переносится на созданный продукт. Она возвращается в денежной форме в течение одного кругооборота. Речь идет о предметах труда и быстроизнашивающемся (за год) инструменте.
К оборотному капиталу на практике относят заработную плату. Ибо способ оборота денежных средств, затраченных на оплату труда, является одинаковым с оборотом стоимости предметов труда. Отсюда вытекает заинтересованность бизнесмена в ускорении движения оборотного капитала. Чем быстрее возвращаются, в частности, деньги, затраченные на заработную плату, тем шире возможность за тот же год нанять больше работников, что, в конечном счете, увеличит размер прибыли.
Кроме основных и оборотных фондов, функционирующих в сфере производства, предприятия имеют фонды обращения – денежные средства и товары, предназначенные для реализации. Фонды обращения и оборотные фонды возобновляются после каждого кругооборота. Между ними существует тесная связь – оборотные фонды превращаются в процессе производства в фонды обращения (готовую продукцию, затем в денежные средства), и наоборот, денежные средства, вырученные от реализации продукции, превращаются в элементы оборотных фондов – сырье, топливо и т.п. В связи с этим денежные средства, вложенные в оборотные фонды и фонды обращения, объединяются в оборотные средства.
Оборотные средства – это средства, авансируемые для обеспечения непрерывного кругооборота и возвращающиеся в денежной форме полностью после каждого производственного цикла.
Особую заботу предприниматели проявляют о сохранении и возмещении стоимости основного капитала, который по своей экономической природе относится к постоянно возобновляемому капиталу. Такое непрерывное восстановление стоимости средств труда производится по определенным нормам в соответствии с их износом. Этот износ бывает двояким: 1) физическим и 2) стоимостным.
Физический износ основного капитала означает утрату средствами труда своей полезности, в результате чего они становятся материально непригодными для дальнейшего использования. Этот износ происходит в двух случаях: а) в процессе производительного применения (поломка машин, разрушение фабричного здания от вибраций и т.п.) и б) если оборудование бездействует и утрачивает свои качества (разрушается под воздействием жары, холода, воды и пр.).
Стоимостно й (его часто называют моральным) износ - это утрата основным капиталом своей стоимости. Данный процесс подразделяется на два вида: а) когда машиностроение создает более дешевые технические средства, вследствие чего происходит обесценивание старого, действующего оборудования, и б) когда старые машины заменяются более производительными (за то же время они вырабатывают больше продукции). В результате оборудование быстрее переносит свою стоимость на готовые изделия.
Средства на простое воспроизводство основного капитала накапливаются в амортизационном фонде. К моменту износа вещественных элементов этого капитала в фонде амортизации сосредоточивается такая сумма денег, за счет которой закупаются новые аналогичные машины и оборудование. Эти деньги идут и на капитальный ремонт средства труда (работы по восстановлению технических качеств оборудования и его производительности).
Амортизационный фонд образуется за счет амортизационных отчислений. Последние представляют собой денежную форму перенесенной на продукцию стоимости действующих основных фондов. Эти отчисления включаются в общую сумму затрат предприятия на производство продукции.
Величина годового амортизационного фонда зависит от двух факторов: среднегодовой стоимости основного капитала и нормы амортизации.
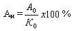
Норма амортизации Ан определяется как отношение годовой суммы амортизационных отчислений А0 к среднегодовой стоимости основного капитала К0, выраженное в процентах:

Норма амортизации показывает, за сколько лет стоимость основного капитала должна быть полностью возмещена. Норма амортизации определяется с учетом: а) экономически целесообразных (нормативных) сроков службы средств труда (которые зависят от их долговечности и физического износа); б) сравнительной эффективности затрат на капитальный ремонт, модернизацию (совершенствование) и замену машин и оборудования; в) фактического возраста основного капитала, находящегося в эксплуатации; г) стоимостного износа средств труда.
При расмотрении капитала важнейшим фактором являетвя время,так как сегодняшние ресурсы или блага ценятся выше будущих. благ или ресурсов.
Процент-это разница между ценностью сегодняшних и будущих благ. Различают номинальную и реальную ставки ссудного процента. Номинальная ставка показывает, насколько сумма, которую заемщик возвращает кредитору, превышает величину полученного кредита. Реальная ставка – это ставка процента, скорректированная на инфляцию, т.е. выраженная в денежных единицах постоянной покупательной способности.
Дисконтирование – расчет сегодняшней стоимости будущего дохода для этого используется формула сложного %
Х1= х
(1+%)t, где
Х1 - сегодняшнее выражение денег
Х - сумма денег в будущем периоде
% - Средняя. процентная ставка в долях
t - Число лет периодов
4. Любой бизнес связан со значительными рисками
Объективные факторы риска:
-неопределенность будущего
-непредсказуемость поведения партнеров
-недостаточность информации.
Способы снижения риска в бизнесе:
-страхование - это превращение убытков в небольшие постоянные затраты.
-диверсификация-это разделения между несколькими видами деятельности:
-объединение риска, то есть, когда риск делится на большое количество людей,
-поиск информации на рынке.
Продавец обладает большой информацией, чем покупатель (ассиметрия информации) В этом случае покупатель не доверяет продавцу и продавец начинает сигнализировать покупателю о качестве своего товара (: гарантийное обязательство диплом об образование на рынке труда)






