Примечание
Примечание
Измерительную цепь измерительной системы называют измерительным каналом (см. ниже).
Измерительное устройство — часть измерительного прибора (установки или системы), связанная с измерительным сигналом и имеющая обособленную конструкцию и назначение. Измерительным устройством может быть названо регистрирующее устройство измерительного прибора, включающее ленту для записи, лентопротяжный механизм и пишущий элемент.
Чувствительный элемент средства измерений — часть измерительного преобразователя в измерительной цепи, воспринимающая входной измерительный сигнал.
Показывающее устройство средства измерений — совокупность элементов средства измерений, обеспечивающая визуальное восприятие значений измеряемой величины или связанных с ней величин.
Регистрирующее устройство средства измерений — совокупность элементов средства измерений, регистрирующая значение измеряемой величины или связанной с ней величины.
Шкала средства измерений — часть показывающего устройства средства измерений, представляющая собой упорядоченный ряд отметок (черточка, точка и др.) вместе со связанной с ними нумерацией.
Начальное значение шкалы — наименьшее значение измеряемой величины, которое может быть отсчитано по шкале средства измерений.
Конечное значение шкалы — наибольшее значение измеряемой величины, которое может быть отсчитано по шкале средства измерений.
Табло цифрового измерительного прибора — показывающее устройство цифрового измерительного прибора.
По виду измеряемой величины или сигнала измерительной информации, а также по способу обработки сигнала средства измерительной техники делятся на аналоговые и цифровые.
В аналоговых средствах измерительной техники выходная величина является непрерывной функцией размера измеряемой величины, т. е. может принимать, как и измеряемая величина, бесконечное множество значений.
Высота столбика ртути в ртутном термометре расширения или ТЭДС термопары являются непрерывными функциями измеряемой температуры.


Рис. 1. Структурные схемы:
а — цифрового измерительного устройства; б — информационного измерительного канала ИИС
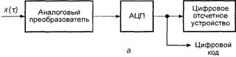
В цифровых средствах измерительной техники выходная величина является дискретной (прерывистой) во времени и квантованной по размеру, т. е. может принимать лишь конечное число значений. В цифровом средстве измерительной техники непрерывная по размеру и во времени измеряемая величина преобразуется в дискретный сигнал, квантуется и кодируется. Полученный цифровой код может передаваться по каналам связи и отображаться на табло цифрового измерительного прибора. Структурная схема цифрового измерительного прибора приведена на рис. 1, а. Аналоговый первичный измерительный преобразователь преобразует измеряемую величинув величину, обеспечивающую нормальный режим работы аналого-цифрового преобразователя (АЦП), входящего составной частью в цифровой измерительный прибор. Это могут быть масштабные преобразования (усиление или ослабление) или преобразования рода физической величины (например, преобразование сопротивления в напряжение). С выхода АЦП цифровой код поступает на табло и цифровой выход измерительного прибора, позволяющий подключать устройства цифровой регистрации показаний или цифровые каналы связи. Использование измерительного сигнала в цифровой форме позволяет свести к минимуму потерю содержащейся в нем информации.
Измерительная система (ИС) — совокупность функционально объединенных мер, измерительных приборов, измерительных преобразователей, ЭВМ и других технических средств, размещенных в разных точках контролируемого объекта с целью измерений одной или нескольких физических величин, свойственных этому объекту, и выработки измерительных сигналов. В зависимости от назначения измерительные системы разделяют на измерительные информационные (ИИС), измерительные контролирующие, измерительные управляющие системы и др.
ИИС производства азотной кислоты содержит сотни измерительных каналов и позволяет получить измерительную информацию о ряде физических величин в различных технологических аппаратах.
Измерительный канал измерительной системы — конструктивно или функционально выделяемая часть ИС, выполняющая законченную функцию от восприятия измеряемой величины до получения результата ее измерения, выражаемого числом или соответствующим ему кодом, или до получения аналогового сигнала, один из параметров которого — функция измеряемой величины.
Типовой измерительный канал (ИК) включает в себя первичный измерительный преобразователь, линии связи, промежуточный измерительный преобразователь (нормирующий, либо выполняющий иные функции), аналого-цифровой преобразователь (АЦП), процессор, цифроаналоговый преобразователь (ЦАП).
Измерительно-вычислительный комплекс — функционально объединенная совокупность средств измерения, ЭВМ и вспомогательных устройств, предназначенная для выполнения в составе измерительной системы конкретной измерительной задачи.
Средства измерений прямого действия — средства измерений, в которых измеряемая величина подвергается ряду последовательных преобразований в одном направлении, т. е. без возвращения к исходной измеряемой величине. В структурной схеме (рис. 2, а) П1и П2 — преобразователи с коэффициентами преобразования К1 и К2. Средства измерений прямого действия состоят из ряда блоков, преобразующих измеряемую величину в мощный сигнал, под влиянием которого перемещаются подвижные органы отсчетных устройств, предварительно прямо или косвенно проградуированных с помощью мер. Энергия или мощность, необходимая для измерения СИ прямого действия, часто отбирается от объекта измерения, что приводит к искажению измеряемой величины. К средствам измерений прямого действия относят большинство манометров, термометров, амперметров, вольтметров и т. д. (рис. 3).
Метрологическая характеристика средства измерений — характеристика одного из свойств средства измерений, влияющая на результат измерений и на его погрешность. Метрологические характеристики, устанавливаемые нормативно-техническими документами, называют нормируемыми метрологическими характеристиками, а определяемые экспериментально — действительными метрологическими характеристиками.

Рис..2. Структурные схемы измерительного устройства:
а — прямого действия (преобразования);
,
— преобразователи с коэффициентами усиления
и
; б — с уравновешивающим преобразованием (компенсационным); П — преобразователь

Рис. 3. Примеры измерительных устройств прямого действия:
а — весы; б — милливольтметр; в — мембранный манометр
Показание средства измерений — значение величины или число на показывающем устройстве средства измерений.
Диапазон показаний средства измерений — область значений шкалы прибора, ограниченная начальным и конечным значениями шкалы.
Диапазон измерений средства измерений — область значений величины, в пределах которой нормированы допускаемые погрешности средства измерений. Значения величины, ограничивающие диапазон измерений снизу и сверху, называют соответственно нижним пределом измерений и верхним пределом измерений.
Номинальное значение меры — значение величины, приписанное мере (или партии мер) при изготовлении. Например, резистор с номинальным значением 1 Ом.
Действительное значение меры — значение величины, приписанное мере на основании ее калибровки или поверки.
Статическая характеристика преобразования средства измерений (функция преобразования) — зависимость информативного параметра у выходного сигнала средства измерений от информативного параметра х входного сигнала в статическом режиме:

Номинальная статическая характеристика (НСХ) преобразования — номинально приписываемая данному средству измерения статическая характеристика при номинальных значениях неинформативных параметров входного сигнала, которая может быть задана в форме уравнения, графика или таблицы.
Для средств измерений с линейной статической характеристикой, используемых для измерения не изменяющихся во времени величин, передаточная функция является величиной постоянной. В средствах измерений с нелинейной статической характеристикой зависимость между выходной и входной величинами описывается алгебраическим или трансцендентным уравнением.
Для средств измерений в большинстве случаев предпочтительна линейная статическая характеристика (рис. 4, а) или близкая к линейной на заданном интервале изменения входной величины х, что обеспечивает постоянство чувствительности средства измерений.
Градуировочная характеристика средства измерений — зависимость между значениями величин на входе и выходе средства измерений, полученная экспериментально

Градуировочная характеристика ротаметра выражает зависимость расхода от показаний ротаметра (положения поплавка) и может быть представлена в виде таблицы, графика или формулы.
Чувствительность средства измерений S — отношение изменения сигнала на выходе средства измерений
к вызвавшему его изменению измеряемой величины
:

Порог чувствительности средства измерений — наименьшее значение изменения физической величины, начиная с которого может осуществляться ее измерение данным средством.
Разрешающая способность {разрешение) средства измерений — характеристика средства измерений, выражаемая или наименьшим интервалом времени между событиями, или наименьшим расстоянием между объектами, которые фиксируются прибором раздельно.
В соответствии с данным определением различают временное разрешение и пространственное разрешение. Под разрешающей способностью цифровых показывающих приборов понимается обычно значение младшего цифрового разряда.
Порог чувствительности и разрешающая способность СИ обычно определяются уровнем его внутренних шумов и нестабильностью его элементов.
Дрейф показаний средства измерений — изменение показаний средства измерений во времени, обусловленное изменением влияющих величин или других факторов.
Зона нечувствительности средства измерений — диапазон значений измеряемой величины, в пределах которого ее изменения не вызывают выходного сигнала средства измерений.
Процесс измерения, способы проведения его и средства измерений, при помощи которых происходит измерение, зависят от измеряемой физической величины, существующих методов и условий измерений. При выполнении измерений технологических параметров применяются различные методы.
Принцип измерений — физическое явление или эффект, положенное в основу измерений.
Примеры: использование эффекта Доплера для измерения скорости, использование эффекта Джозефсона для измерения электрического напряжения, использование термоэлектрических явлений для измерения температуры.
Термоэлектрические явления — совокупность физических явлений, обусловленных взаимосвязью между тепловыми и электрическими процессами в твердых проводниках. К термоэлектрическим явлениям относятся эффекты Зеебека, Пельтье, Томсона.
Метод измерений — прием или совокупность приемов сравнения измеряемой физической величины с ее единицей в соответствии с реализованным принципом измерений.
Классификация методов измерения технологических параметров разнообразна, поэтому выделим лишь некоторые отличительные признаки методов.
При контактном методе измерений чувствительный элемент средства измерений приводится в контакт с объектом измерений.
Например, измерение температуры тела термометром расширения.
Для бесконтактного метода измерений характерно отсутствие контакта чувствительного элемента средства измерений с объектом измерений.
Например, измерение температуры в стекловаренной печи пирометром.
Метод непосредственной оценки — метод измерений, в котором значение измеряемой величины определяют непосредственно по показывающему средству измерений, отградуированному в единицах измеряемой величины.
Например, измерение температуры термометром, отградуированным в градусах Цельсия; измерение давления манометром, отградуированным в паскалях.
Метод сравнения с мерой — метод измерений, в котором измеряемую величину сравнивают с величиной, воспроизводимой мерой.
Например, измерение массы на рычажных весах с уравновешиванием гирями (мерами массы с известным значением) или измерение ТЭДС термопары на компенсаторе сравнением с известной ЭДС нормального элемента.
Нулевой метод измерений — метод сравнения с мерой, в котором результирующий эффект воздействия измеряемой величины и меры на прибор сравнения доводят до нуля.
Примеры: измерения электрического сопротивления мостом с полным его уравновешиванием, измерение массы на равноплечих и неравноплечих весах (сравнение на рычаге силовых эффектов действия масс), измерение давления грузопоршневыми манометрами (сравнение на поршне силовых эффектов измеряемого давления и мер массы), измерение напряжения постоянного тока электрическим компенсатором (сравнение на сопротивлении падений напряжения от измеряемой ЭДС и ЭДС нормального элемента или другого образцового источника), измерение температуры радиационным пирометром (сравнение наблюдателем яркостей свечения объекта измерения и нити накаливания пирометрической лампы током образцового элемента).
Сравнение осуществляется с помощью компенсационных или мостовых схем (цепей). Компенсационные цепи применяются для сравнения активных величин, т. е. несущих в себе некоторый запас энергии (сил, давлений и моментов сил, электрических напряжений и токов, яркости источников излучения).
При сравнении (компенсации) воспроизводимая мера используется для компенсации измеряемой величины во всем диапазоне изменений, а также для показания значения. Поэтому для осуществления этого метода необходима изменяющаяся мера высокого качества.
Структурная схема средства измерений сравнения представлена на рис. 5.2, б. Сравнение осуществляется в устройстве сравнения, в котором обычно одна величина вычитается из другой. Используя выходной сигнал устройства сравнения, с помощью преобразователя П можно управлять мерой. Поскольку в средствах измерений, основанных на методе сравнения, измеряемая величина уравновешивается (компенсируется) величиной, воспроизводимой мерой, их также называют средствами измерений с уравновешивающим (компенсационным) преобразованием.
Для сравнения пассивных величин (электрических, гидравлических, пневматических и других сопротивлений) применяются мостовые цепи типа электрических уравновешенных или неуравновешенных мостов.