Замечание
Вихревые расходомеры с телом обтекания треугольного трапецеидального и квадратного типов предназначены для труб диаметром D от 50 мм до 300 мм.
Действие ультразвуковых расходомеров основано на зависимости от расхода вещества разности времен прохождения ультразвуковых сигналов по потоку вещества и против него. Измеряется время прохождения ультразвукового сигнала от одного излучателя до приемника по направлению течения вещества (например, жидкости), так и против его течения. Разница во времени прохождения ультразвукового сигнала будет прямо пропорциональна скорости потока вещества, а знак этой разности покажет направление потока.
В трубопроводе на его внешней поверхности устанавливаются два первичных измерительных преобразователя-излучателя ультразвуковых колебаний и два их приемника (частота ультразвуковых колебаний составляет 1...3 МГц). При скорости ультразвука с длительность прохождения импульса в неподвижной жидкости, находящейся в трубопроводе, составит

где
— расстояние между излучателями и приемниками ультразвуковых колебаний.
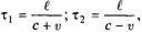
При перемещении жидкости со скоростью v время прохождения ультразвука по направлению потока
и навстречу ему
равно:

откуда разность времен прохождения импульсов по потоку и против потока, учитывая, что
(5.104)

Рис. 94. Двухканальная схема ультразвукового преобразователя:
/ — излучающий пьезоэлемент; 2 — приемные пьезоэлементы
Основными элементами преобразователей являются пьезоэлементы, преобразующие переменное электрическое напряжение в ультразвуковые колебания среды. Часто применяются кольцевые пьезопреобразователи, создающие не направленное, а сферическое излучение. Может быть реализована одноканальная схема ультразвукового преобразователя, в которой каждый из двух пьезоэлементов по очереди излучает и принимает акустические колебания. На рис. 5.94 представлена двухканальная схема ультразвукового преобразователя, на которой средний пьезоэлемент является излучающим, а два крайних — приемными.






