Найти кодовую комбинацию циклического (7, 4) кода для информационной комбинации 1011 и образующего многочлена P (x) =х 3+ x 2+1.
Циклический (7,4) код имеет полное число разрядов n =7, число информационных разрядов k =4, число контрольных разрядов m =3.
Алгебраический многочлен информационной комбинации имеет следующий вид:
G (x) = х 3+ x +1 → 1011.
Умножение на xn-k даёт:
G (x)= (х 3+ x +1) х 3= х 6+ х 4+ х 3.
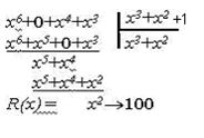
Выполняем деление полученного произведения на образующий многочлен:

Таким образом, деление произведения xn-k * G (x) на образующий полином P (x)даёт остаток R (x) = х 2, что соответствует двоичному числу 100.
Наконец, многочлен комбинации циклического кода.
F (x)=(х 6+ х 4+ х 3)+ х 2.







