Рис. 2. Линейная функция спроса (а) и функция суммарных расходов (б).
До сих пор мы интересовались зависимостью объема спроса на определенный товар от цены на этот товар. В действительности же спрос зависит от многих факторов. В качестве важнейших из них можно выделить цены на другие товары и доходы потребителей. При анализе зависимости спроса от этих факторов также широко используется аппарат эластичности.
Мерой реакции спроса на данный товар на изменение цены некоторого другого товара служит перекрестная (или взаимная) эластичность спроса по цене. Для ее определения может быть использована уже знакомая нам формула (1), с тем лишь отличием, что объем спроса (Q) относится к одному товару, а цена (Р) - к другому. Спрос на данный товар при увеличении цены на другой товар может и возрастать, и убывать - в зависимости от отношения потребителя к совместному использованию того и другого товара. Например, рост цены на бензин должен снижать спрос на автомобили; в то же время повышение цены на хозяйственное мыло увеличивает спрос на стиральный порошок. Таким образом, перекрестная эластичность может быть и положительной, и отрицательной, и ее знак представляет не меньший интерес, чем абсолютная величина. Первый пример относился к взаимодополняемым товарам; для них характерна отрицательная перекрестная эластичность. Во втором примере речь идет о взаимозамещаемых товарах; здесь мы обычно сталкиваемся с положительной перекрестной эластичностью. Теперь обратимся к эластичности спроса по доходам. Ее можно определить аналогично эластичности спроса по цене:
|
|
|
, (4)
|
Здесь Q - объем спроса на определенный товар, I - доход потребителя, символ δ, как и раньше, обозначает относительные приращения. Такие зависимости обычно изучают путем сопоставления спроса в группах потребителей, каждая из которых более или менее однородна по уровню дохода.
Рост дохода увеличивает возможность совершения покупок, так что спрос на большинство товаров с увеличением дохода возрастает, и эластичность спроса по доходам оказывается положительной. Но по абсолютной величине эти эластичности могут резко различаться. Эластичность спроса на товары первой необходимости весьма мала, а на предметы роскоши - велика. Кроме того, существуют товары, которые при достаточно высоком уровне доходов вытесняются лучшими товарами-заменителями, и спрос на них при дальнейшем увеличении дохода падает. На этом участке эластичность оказывается отрицательной. Такие товары называют низшими благами (рис. 3).

Рис. 3. Зависимости спроса (Q) от доходов (I). 1 - товары первой необходимости (ΕI <1); 2 - предметы роскоши (ΕI > 1); 3 - низшие блага (ΕI<0 при больших доходах).
|
|
|
Итак, мы видим, что такой показатель, как эластичность спроса, служит весьма полезным инструментом выявления отношения потребителей к различным товарам. Но этот же инструмент может быть использован и для анализа предложения.
Эластичность предложения по цене:
, (5)
|
определяется аналогично эластичности спроса, но здесь Q - объем предложения, связанный с ценой функцией Q = S(P) (рис. 4). Так как объем предложения - неубывающая функция цены, эластичность предложения в обычных случаях - неотрицательная величина. В лекции 6 отмечался различный характер функции предложения в различных периодах. Это различие находит свое отражение в эластичности:
а) для мгновенного предложения, когда продукт уже произведен, его количество является величиной постоянной, Εp[S] = 0;
б) в коротком периоде предложение может в некоторой степени приспособиться к изменяющейся цене и на значительной части кривой предложения Εp[S] = 0; однако при этом возможности производства не безграничны, и по мере приближения к предельно возможному объему Q* (рис. 4) эластичность снижается, стремясь к нулю;
в) в длительном периоде возможности приспособления еще шире, а коэффициент эластичности больше, чем в среднем периоде. Ограниченность возможностей предложения при этом обычно не играет существенной роли.

Рис. 4. Кривые предложения в различных периодах:мгновенном (IS), коротком (SS) и длительном (LS).
РАЗДЕЛ 2. Как измерить эластичность
В предыдущем разделе величина эластичности спроса по цене определялась для каждого значения цены, т. е. для каждой точки кривой спроса. Это - точечная эластичность. Но часто нужно знать эластичность на некотором участке кривой, соответствующем переходу от одного состояния к другому (от точки М1 к точке M2 на рис. 5). Здесь видна аналогия с простой задачей из механики: скорость тела (мгновенная) есть производная от пройденного пути по времени; в то же время часто представляет интерес скорость (средняя), соответствующая определенному участку пути или промежутку времени.
Например, если автомобиль за 2 часа прошел 100 км, то его средняя скорость равна 100/2 = 50 км/ч.

Рис. 5. К определению дуговой эластичности.
Интерес к интервальным характеристикам может быть связан с двумя обстоятельствами.
Во-первых, нас может интересовать участок кривой от текущего состояния до ожидаемого (планируемого, прогнозируемого). Во-вторых, определение точечной эластичности из предыдущего раздела использует операцию дифференцирования. Это обстоятельство не вызвало бы затруднения, если бы мы располагали аналитическим описанием функции спроса. Но наблюдение над реальным процессом не дает аналитического выражения, оно может дать лишь значения интересующих нас величин в отдельных точках.
Действуя по аналогии с механической задачей, мы могли бы определить эластичность спроса на участке кривой как частное от деления относительного изменения объема спроса на относительное изменение цены:
, (6)
|
Но аналогия с автомобилем оказывается неполной:
приращения ΔР = Р2 - Р1 и ΔQ = Q2 - Q1 и в нашем случае определяются начальным и конечным состояниями, но какие абсолютные уровни Р и Q следует использовать в формуле (6)? В принципе это могли бы быть и начальные (Р1, Q1), и конечные (Р2, Q2) значения. Оба варианта, очевидно, дадут различные результаты. В качестве компромиссных обычно выбирают средние значения обеих переменных:
,
|
что в результате дает выражение эластичности:
, (7)
|
Эластичность спроса, определяемая равенством (7), характеризует некоторую среднюю реакцию спроса на изменение цены на участке М1М2 и называется дуговой эластичностью.
|
|
|
Существует и другой подход к определению сред ней эластичности на участке кривой спроса, также аналогичный рассмотренной выше механической задаче, но в ином отношении. Средняя скорость - это скорость тела, движущегося равномерно (т. е. с постоянной скоростью) в течение того же времени, что и реальное тело, и проходящего за это время такой же путь. Подобно этому, мы можем рассмотреть кривую постоянной эластичности, проходящую через начальную и конечную точки рассматриваемой дуги, и в качестве характеристики дуги использовать эластичность этой кривой.
Функция с постоянной эластичностью - это степенная функция вида Q = APE (см. МП, II, формула (5)). У этой функции два параметра, и для ее однозначного определения достаточно располагать значениями переменных в двух точках:
,
|
Почленно разделив второе из этих равенств на первое, получим:
, (1)
|
откуда:
, (8)
|
Выбор основания логарифмов здесь не играет роли. Формулы (7) и (8) дают не одинаковые, но довольно близкие результаты, даже если точки М1 и М2 не очень близки друг к другу.
Рассмотрим числовой пример:
Р1 = 10. Q1 = 50,
Р2 =5, Q2 = 70.
Используя формулу (7), получим:
,
|
а формулу (8):
,
|
Расхождение между этими результатами достаточно мало по сравнению с погрешностями, допустимыми в такого рода расчетах; обычные ошибки в исходных данных приводят к гораздо большим неточностям.
Второй из рассмотренных нами подходов может быть преобразован для случая, когда имеются не две, а большее число точек на кривой спроса. Пример таких данных приведен в табл. 3.
Таблица 3. Пять точек на кривой спроса
| Точка | Цена | Объем спроса |
Если число точек больше двух, мы не можем рассчитывать на то, что найдется кривая постоянной эластичности, проходящая через все эти точки. Вместо этого ищем кривую постоянной эластичности, ближайшую ко всей совокупности заданных точек.
Существуют вычислительные методы, позволяющие успешно решать такие задачи; мы их здесь рассматривать не будем. Укажем лишь метод, позволяющий приближенно решить такую задачу на глаз.
|
|
|
Для степенной функции Q = APE справедливо равенство:
log Q = а + E·log P,
где а = log A.
Иными словами, логарифмы Р и Q связаны линейной зависимостью. Поэтому, отложив по осям координат не сами наблюдавшиеся величины Р и Q, а их логарифмы, мы сведем задачу к нахождению прямой, наименее удаленной от заданных точек. А здесь уже возможны глазомерные прикидки. Угловой коэффициент этой прямой равен искомой эластичности. Такие построения удобнее всего выполнять на специальной логарифмической бумаге, разграфленной и отградуированной таким образом, что координаты точек пропорциональны логарифмам отмеченных на осях чисел. На рис. 6,б исходные данные представлены в логарифмических масштабах. Точки располагаются близко к некоторой прямой, что свидетельствует о том, что эластичность спроса во всем диапазоне представленных значений более или менее постоянна. В противном случае следовало бы разбить кривую на несколько участков и определять эластичность для каждого из участков в отдельности.
На рис. 6,а представлены те же данные в обычных (линейных) масштабах; там же нанесена ближайшая к ним кривая постоянной эластичности, рассчитанная точными методами. Ее уравнение Q = 747.8·P1.868, так что эластичность оценивается величиной Е = -1.868. То обстоятельство, что кривая не проходит точно через заданные точки, оказывается полезным: таким образом сглаживаются шероховатости, обусловленные погрешностями данных, и лучше выявляются закономерности изучаемого явления.
РАЗДЕЛ 3. Ценовая дискриминация
Часто бывает так, что продавец (монополист) ведет торговлю сразу на двух и более рынках, отделенных друг от друга.
На все эти рынки он поставляет одну и ту же продукцию, которую производит сам, но продается она по разным ценам: на каждом рынке он устанавливает свою цену. Такая продажа называется ценовой дискриминацией (англ. price discrimination). Термин "дискриминация" не заключает в себе никакого этического смысла. Он используется здесь с единственной целью - не путать обозначаемое им явление с дифференциацией цен в зависимости от качества товаров и услуг.

Рис. 6. Кривая постоянной эластичности. а - в обычных масштабах; б - в логарифмических.
Предположим теперь, что продукцию, продаваемую на сравнительно дешевом рынке, можно купить у монополиста, а затем перепродать на дорогом рынке. В этом случае цена на обеих (если их две) частях рынка окажется одинаковой. Она стала бы единой (одной) и в том случае, если бы постоянные покупатели дорогого рынка могли стать клиентами дешевого рынка. В обоих случаях ценовая дискриминация неосуществима.
Следовательно, для проведения ценовой дискриминации недостаточно простого разделения рынка на части. Для этого необходимо разделить его так, чтобы в той или иной степени было затруднено передвижение товаров между его частями. Только тогда части данного рынка могут стать отдельными, изолированными рынками, так что спрос на каждом из них не будет зависеть от цен, которые устанавливаются на другом рынке.
Самый типичный пример в данном случае - непосредственное предоставление частных услуг (врачами, адвокатами, учителями, владельцами гостиниц и т. п.). Так, врач, берущий с одних (состоятельных) пациентов более высокую плату, чем с других (неимущих), может не опасаться, что лица, оплачивающие его услуги ниже, перепродадут их тем, кто за такие же услуги платит больше.
О ценовой дискриминации можно говорить и тогда, когда рынки, на которых ведет торговлю монополист, отделены друг от друга географически или посредством тарифных барьеров. Как в том, так и в другом случае перемещение товаров со сравнительно дешевого рынка на тот, где их можно продать дороже, сопряжено со значительными расходами, что и служит препятствием для перепродажи (перемещения).
Единство рынка может быть нарушено и иначе. Нередки случаи, когда одинаковые по существу товары продаются под видом товаров разного качества.
Покупатели-снобы, приобретая дорогостоящие товары, выделяются среди покупателей относительно бедных. Тем самым рынок оказывается разделенным и монополист получает возможность проводить ценовую дискриминацию.
Обособление отдельных частей рынка обусловливает лишь формальную возможность для монополиста устанавливать разные цены на один и тот же товар. Но в чем же выгода ценовой дискриминации для монопольного производителя? В основе разных цен на данный единичный товар лежит разная эластичность спроса на тех изолированных рынках, где есть возможность продавать продукцию. И такая продажа выгодна монополисту.
В подтверждение этого рассмотрим рис. 7.

Рис. 7. Ценовая дискриминация.
Пусть монополист, проводящий ценовую дискриминацию, ведет торговлю на двух рынках - 1 и 2, которые характеризуются соответственно линиями спроса D1 и D2. Рынок 1 меньше по объему, но более эластичен. MR1 и МR2 - соответствующие линии предельной выручки.
Каким образом распределится общий объем предложения между рынками? Если, например, MR1 > МR2, то производителю выгодно часть товара перебросить с рынка 2 на рынок 1. При этом MR1 снизится, a МR2 возрастет. И только при MR1 = МR2 перераспределение товара между рынками не приведет к увеличению общей выручки. Это и будет наиболее выгодным распределением товара между рынками. Поэтому мы можем построить линию общей предельной выручки МRT, выполнив горизонтальное суммирование кривых MR1 и МR2, т. е. сложив объемы предложения при одинаковых значениях МR.
Пересечением МRT c МC - кривой предельных затрат - определяется общий объем выпуска продукции QT. Горизонтальная линия МRE, проходящая через точку пересечения Е, - это линия равной предельной выручки. Точки пересечения линии МRE с линиями предельной выручки MR1 и МR2 позволяют определить объемы продаж и цены для каждого рынка. На рынке 1 будет продано Q1 единиц товара по цене P1, а на рынке 2 - Q2 единиц товара по цене P2. Получаем: предельная выручка на каждом рынке одинакова и равна общей предельной выручке и предельным затратам на всю продукцию (MR1= МR2 = МRT = MC).
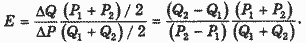
Предельный доход связан с эластичностью E спроса по цене соотношением:
,
|
Поэтому равенство MR1 = МR2 можно представить в виде:
,
|
Если эластичность спроса будет одинакова (E1= E2), то равными будут и цены (P1= P2), т. е. ценовая дискриминация невозможна. При условии же, что эластичность спроса на разных рынках будет неодинакова, разными будут и цены. Если абсолютная величина эластичности спроса на рынке 1 будет больше, чем на рынке 2 (|E1|< |E2|), цена на рынке 1 будет меньше, чем цена на рынке 2 (P1< P2). Цена, которая установится на каждом из рынков, окажется ценой спроса на всю продаваемую там продукцию.
Итак, монополист может получить больше прибыли, если будет продавать меньше продукции на рынках, где эластичность спроса (и предельная выручка) ниже; на тех же рынках, где эластичность спроса (и соответственно предельная выручка) выше, он будет продавать больше продукции. Объем продаж установится тогда на уровне, при котором предельная выручка от реализации дополнительной единицы продукции будет равна на всех рынках. А если его предельная выручка от продажи продукции на каждом из рынков окажется равной его предельным затратам на производство всей продаваемой продукции, то монополист получит наибольшую прибыль.
Прибыльность монополии не в последнюю очередь зависит от того, каким способом тот или иной рынок разделен на части. Способов разделения рынка немало. Здесь же рассмотрим случай, когда монополисту предоставлена полная свобода действий.
Допустим, прежде всего, что в распоряжении монополиста есть некий ключ, с помощью которого он, по своему усмотрению, может отделить покупателей друг от друга.
Предположим также, что сначала он назначает на свой товар единую цену, а затем предпринимает усилия, направленные на последовательное разделение рынка на части.
Совокупный спрос на рынке складывается из спроса отдельных покупателей. При условии, что эластичность спроса этих покупателей одинакова, монополисту придется назначить единые цены по всему рынку; ценовая дискриминация не принесёт ему каких-либо выгод, а рынок останется неразделенным. Если же эластичность спроса отдельных покупателей неодинакова, то монополист поступит иначе. Он разделит их на две группы и сделает это так, что самая высокая эластичность спроса покупателей одной группы окажется ниже, чем самая низкая эластичность, характеризующая спрос покупателей второй группы.
Дальнейшие его шаги будут такими: на товары, которые приобретают покупатели первой группы, он повысит цену, а на товары для покупателей второй группы - понизит. После этого монополист вновь решает ту же задачу. Если теперь эластичность спроса всех покупателей, относящихся к той или иной группе, одинакова, то повторное разделение рынка утрачивает смысл. Но если она оказалась разной, то каждый из вновь образовавшихся рынков надлежит опять разделить (по тому же принципу) на два рынка. И это будет продолжаться до тех пор, пока на каждом рынке не останется группа покупателей (а в крайнем случае один-единственный покупатель) со спросом, характеризующимся одинаковой эластичностью. Наконец, остаются всего лишь два покупателя, спрос которых имеет неодинаковую эластичность, но приобретающие данную продукцию по одной и той же цене. И в этом крайнем случае монополист увеличит прибыль, если он продаст свою продукцию каждому из них по особой цене. Спору нет, монополист лишь в исключительных случаях может разделить рынок произвольно, руководствуясь лишь собственными устремлениями.
Всегда находятся всевозможные причины, препятствующие такому разделению рынка, которое для него являлось бы лучшим из всех возможных, т. е. обеспечивало бы наибольшую выгоду. И все же раздел рынка осуществляется, и стоит только этому произойти (в соответствии с эластичностью спроса на вновь возникающих рынках), как самая низкая цена назначается там, где эластичность спроса самая высокая, а самая высокая цена - где эластичность спроса самая низкая.
Задачи
1. В результате повышения цены товара с 5 до 6 р. объем спроса сократился с 9 млн шт. до 7 млн шт. в год. Общий уровень цен не изменился. Определите коэффициент прямой эластичности спроса по цене.
2. Дана функция спроса на товар X:
QDX = 8 - Px + 0,2Py
где Px и Py - цены товаров x и y. Допустим, Px = 4, Py= 5.
Определите коэффициенты прямой и перекрестной эластичности спроса по цене.
3. Дана функция спроса на некоторый товар:
QD = 8 - 0,6Р,
где Р - цена данного товара в рублях.
При какой цене коэффициент прямой эластичности спроса по цене равен -0.5?
4. Эластичность спроса населения на данный товар по цене равна -0.25. Эластичность спроса по доходу равна 0.8. На сколько процентов изменится объем спроса на данный товар, если его цена уменьшится на 8 %, а доходы населения увеличатся на 5%? При этом предполагается, что общий уровень цен останется неизменным.
5. Потребитель весь свой доход расходует только на три вида товаров: хлеб, колбасу и молоко. В настоящее время 20 % своего дохода он расходует на хлеб, 50 % - на колбасу и 30 % - на молоко. Определить эластичность спроса на молоко по доходу, если эластичность спроса на хлеб по доходу равна -1, а эластичность спроса на колбасу по доходу равна 2.
6. Эластичность спроса на продовольствие по доходу равна 0.8. Первоначально 50 % своих доходов население расходовало на продовольствие. Предположим, доходы населения увеличились на 10%. Определить долю расходов на продовольствие в доходах населения.
Лекция 8. Заменяемость и дополняемость
РАЗДЕЛ 0. У БАРБОСА ЕСТЬ ВОПРОСЫ. Товары заменяют или дополняют друг друга. Как это влияет на спрос?
ИГОРЬ. Так значит, мы уже знаем, что такое эластичность: с помощью коэффициента эластичности можно объяснить, что такое взаимозаменяемые и взаимодополняемые товары.
АНТОН. А разве это и так не ясно? Левый ботинок не может заменить правый, но нужны обязательно оба, чтобы можно было ими пользоваться. Это и есть дополняющие друг друга товары. Или другие примеры: корпус и стержень шариковой ручки, магнитофон и магнитная лента, автомобиль и бензин и т. д.
БАРБОС. Чрезвычайно важное свойство вещей! Ведь что бы я делал, если бы у меня была только мягкая подстилка, но не было бы миски с водой? Или, наоборот, была бы только миска с водой и не было бы подстилки?
ИГОРЬ. Я согласен с тобой, мы могли бы в нашем вводном уроке ограничиться такого рода объяснением. Достаточно ясно, например, что для любителя сладкого шоколад, конфеты, сахар, пирожные, варенье, сгущенка, мед - это все продукты взаимозаменяемые.
АНТОН. А что ты скажешь, например, о мандаринах, апельсинах, грейпфрутах? Или о возможности отдохнуть, читая книгу, лежа на диване, гуляя по лесу или парку?
ИГОРЬ. Все это верно, мне только хотелось бы спросить у тебя: что будет, если повысится цена на яблоки? Как ты отреагируешь на это, если тебе придется покупать, скажем, сливы, груши, виноград?
АНТОН. Ясно, что я куплю меньше яблок, но при этом куплю больше этих взаимозаменяемых товаров.
ИГОРЬ. Ну, а если повысятся цены на фотобумагу или фотопленку, то что произойдет со спросом на фотоаппараты?
АНТОН. Спрос снизится на то и на другое, потому что это взаимодополняемые товары.
ИГОРЬ. Теперь давай подумаем, каким будет коэффициент эластичности спроса на сливы, если цена на яблоки выросла на 10 %, а спрос на сливы повысился на 15 %?
АНТОН. Очень просто:15 разделить на 10 получается 1.5.
ИГОРЬ. Вот, вот, если коэффициент эластичности спроса на какой-то товар по цене другого товара больше нуля, то считается, что эти товары взаимозаменяемы. Такой коэффициент называется коэффициентом перекрестной эластичности.
АНТОН. Я заметил, что этот коэффициент рассчитывается с учетом знака числителя и знаменателя, а не только по абсолютной величине, как в прошлой лекции, где мы считали коэффициент спроса на яблоки при изменении цены на те же яблоки.
ИГОРЬ. Справедливое замечание. Именно поэтому, если цены на фотопленку повысятся на 10 %, а спрос на фотоаппараты упадет на 15%, то коэффициент перекрестной эластичности будет меньше нуля (-15:10= -1.5), а это и означает, что данные товары дополняют друг друга.
АНТОН. А если коэффициент перекрестной эластичности равен нулю, то как это можно истолковать?
ИГОРЬ. Думаю, это означает, что такие товары независимые, т. е. изменение цены одного не оказывает влияния на спрос другого товара.
БАРБОС. Так, так, представим себе, что цена на костную муку (порядочная дрянь) поднялась и мне стали покупать больше нормальных вкусных косточек. Впрочем, кости я получаю из супа хозяев, и это никак не зависит от цены костной муки. Нет, мне нельзя так много думать, собакам это вредно. Может быть, читатель подскажет мне ответ?
РАЗДЕЛ 1. Кривая безразличия и норма замены
Сейчас мы приступаем к более подробному рассмотрению фундаментальных для экономического знания представлений о заменяемости и дополняемости. Для этого читателю необходимо познакомиться с рядом новых понятий.
Как, вероятно, помнит читатель (лекция 2), взаимосвязь между спросом на товар и его ценой определяется полезностью товара с позиции потребителя. В лекции 2 полезность каждого товара рассматривалась изолированно - полезность зависела лишь от количества приобретаемых единиц данного товара. Очевидно, однако, что в реальной действительности спрос потребителя на некоторый товар зависит от намерений по закупке других товаров не только с точки зрения ограниченного бюджета (чем больше средств тратится на яблоки, тем меньше остается на книги), но и с точки зрения полезности (чем больше покупается яблок, тем меньше нужно груш). Иными словами, потребитель сталкивается с необходимостью выбора оптимального набора или комбинации нескольких (а в более широком смысле - всех) приобретаемых им товаров, причем сокращение потребления одного товара может быть заменено (компенсировано) увеличением потребления другого товара без снижения общей полезности данного товарного набора.
Проблема выбора оптимального набора товаров привела в экономической науке к возникновению техники, так называемых кривых безразличия, которая и будет проиллюстрирована в настоящем разделе на примере двух товаров.
Представим себе, что потребителю нужно выбрать некоторую комбинацию двух товаров.
Очевидно, любой акт выбора имеет две стороны: желания (которые определяются вкусами и предпочтениями) и возможности (доступность товаров для потребителя).
, (4)
, (5)
, (6)
,
, (7)
,
, (1)
, (8)
,
,
,
,






