Деньги – особый товар, который является единственным всеобщим эквивалентом. Поскольку золото стало общепризнанным воплощением стоимости, оно стало выступать своего рода эталоном – измерителем стоимости всех товаров.
С появлением денег простой товарообмен, совершавшийся по формуле: Т1 - Т2 был замещен обращением по формуле: Т1 - Д - Т2 Деньги превратились в незаменимого и влиятельного посредника в обмене одного блага на другое.
Экономическая роль денег проявляется в их функциях.
Деньги прежде всего осуществляют функцию меры стоимости – измеряют стоимость всех товаров. Стоимость вещи, выраженная в деньгах, - его цена. Для определения цены продуктов сами деньги не требуются, поскольку продавец товара устанавливает его цену мысленно (идеально выражает стоимость в деньгах).
В функции средства обращения денежные средства выступают в качестве посредника в обращении, которое совершается по формуле: Т (товар) – Д (деньги) – Т (товар). В данном случае деньги не задерживаются надолго в руках покупателей и продавцов и переходят из рук в руки, выполняя рассматриваемую функцию мимолетно. Это обстоятельство привело в конечном счете к замене полноценных денег неполноценными.
Если продавец получил за свой товар деньги, но не стал сразу же расходовать их на покупку нужных ему вещей, то процесс обращения прерывается. Тогда деньги начинают выполнять функцию средства образования сокровищ: они накапливаются в качестве представителя богатства вообще. Функцию сокровища выполняют не только золотые монеты, но и слитки, изделия из золота – сам денежный материал во всех его видах.
При продаже товаров в кредит (в долг с отсрочкой платежа) деньги выполняют функцию платежного средства. Ими расплачиваются за ранее приобретенный товар, когда наступает срок погашения задолженности. В такой роли денежные средства используются и вне сферы товарного обращения в случаях, если выплачивается заработная плата, выполняются всякого рода финансовые обязательства (по займам, по налогам, за аренду земли или помещения и т.п.).
В международной торговле осуществляется функция мировых денег: последние стали выступать в роли всеобщего эквивалента в хозяйственных взаимоотношениях всех стран.
Функцию мировых денег длительное время выполняло золото. На смену золотых монет в ХХ веке пришла искусственная денежная единица.
Отмена золотого стандарта привела к тому, что отпали две функции, которые не могут осуществляться без золота в качестве денег: а) средство образования сокровищ и б) мировые деньги.
В современных условиях в основном выполняются три функции денег: а) мера стоимости; б) средство обращения; в) средство платежа.
В рыночной экономике с деньгами связаны процессы инфляции. Инфляция (вздутие) – это заполнение сферы обращения сверх действительной потребности национального хозяйства. Во время инфляции бумажные деньги обесцениваются по отношению: а) к золоту (при золотом стандарте); б) к товарам; в) к иностранным валютам. Вследствие этого в первом случае происходит повышение рыночной цены золота в бумажных деньгах. Во втором случае растут цены товаров. В третьем случае падает курс национальной валюты по отношению к иностранным денежным единицам.
Инфляция свидетельствует о «заболевании» денежной системы. Она разрушает хозяйственные сферы, усиливает спекуляцию, ведет к снижению уровня жизни населения. Поэтому государство разрабатывает меры по борьбе с инфляцией.
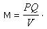
Зависимость уровня цен от денежной массы выражается формулой:
M х V = P х Q
где: М – масса денежных единиц;
V – скорость обращения денег;
P – цена товара;
Q – количество товаров, представленных на рынке.
Отсюда количество денег, необходимых для обращения товаров:

Уравнение, позволяющее выразить количественную зависимость между суммой товарных цен и массой обращающихся денег, позволяет объяснить явление инфляции как обесценение денег, сопровождаемое повышением цен товаров.
Денежная система – это исторически сложившаяся в каждой стране форма организации денежного обращения и законодательно установленная государством.
Важнейшими элементами денежной системы являются:

В зависимости от вида обращаемых денег выделяются два типа систем денежного обращения:
— — система обращения металлических денег, когда обращаются полноценные золотые и серебряные монеты, а кредитные деньги свободно обмениваются на денежный металл (слитки или монеты);
— — система обращения кредитных и бумажных денег, когда золото вытеснено из обращения и поэтому кредитные и бумажные деньги могут быть обменены на золото.
Современное денежное обращение представляет собой совокупность денежных средств, внешне выступающих в двух формах: наличной и безналичной. По объему наличные деньги значительно уступают денежным средствам, находящимся на банковских счетах: банкноты и разменная монета в современных условиях составляют лишь около 10% всех денежных средств.
Денежная масса – совокупность всех денежных средств, находящихся в хозяйстве в наличной и безналичной формах, обеспечивающая обращение товаров и услуг в народном хозяйстве.
Денежная масса, которой располагает народное хозяйство для осуществления операций обмена и платежа, зависит от предложения денег банковского сектора и спроса на деньги, т.е. стремления учреждений небанковского сектора иметь у себя определенную денежную сумму в виде наличных денег или вкладов до востребования (см. схему №1).







