Совершенная конкуренция характерна тем, что доля каждой отдельной конкурентной фирмы в общем объеме предложения составляет незначительную часть. Это связано с большим числом независимо действующих продавцов. Конкурирующие фирмы производят стандартизированную (однородную) продукцию (пшеницу, рожь, мясо, молоко и т. д.), что не дает возможность фирме существенно влиять на рыночную цену, складывающуюся на основе совокупного спроса и предложения. Фирма соглашается с ценой рынка, а не диктует ее. Назначать более высокую цену, чем существует на рынке, бесполезно — покупатели не будут покупать у данной фирмы продукцию, т. к. у других фирм они могут купить такой же продукт дешевле. В то же время данной фирме нет необходимости назначать более низкую цену, чем существует на рынке, поскольку это приведет к уменьшению прибылей. Новые фирмы могут свободно входить, а существующие покидать рынок, т. к. не существует никаких законодательных, технологических, финансовых и других препятствий, способных помешать возникновению новых фирм и сбыту их продукции на конкурентных рынках.
Чистая, или совершенная, конкуренция характеризуется следующими чертами.
1. Очень большое число независимо действующих продавцов. Примером служат рынки сельскохозяйственных товаров, фондовая биржа и рынок иностранных валют.
2. Стандартизированная, или однородная, продукция. Отсутствует основание для неценовой конкуренции, т. е. конкуренции на базе различий в качестве продукции, рекламе и сбыте.
3. Незначительный контроль над ценой. В условиях чистой конкуренции каждая фирма производит настолько небольшую часть от общего объема производства, что увеличение или уменьшение ее выпуска не будет оказывать ощутимого влияния на общее предложение, и, следовательно, цену продукта. Конкурентная фирма не может устанавливать рыночную цену, она может только согласиться с ней.
4. Свободное вступление в отрасль и выход из нее. В условиях чистой конкуренции не существует законодательных, технологических, финансовых и других мер, которые могли бы помешать возникновению новых фирм и сбыту их продукции на конкурентных рынках.
Заметим, что чистая конкуренция - это модель рынка, которая имеет аналитическое и лишь некоторое практическое значение. И тем не менее, мы ее изучаем, чтобы познать суть несовершенной, или монополистической, конкуренции.
Целью любой фирмы на рынке является получение максимума прибыли, однако добиваться ее предприятия могут по-разному, в соответствии с типом конкурентных структур.
В условиях совершенной конкуренции цена спроса является для фирмы заданной величиной. Причем фирма может (или считает, что может) продать по этой цене любое количество единиц товара. Кривая спроса, с точки зрения фирмы, выглядит следующим образом (рис.).

Рис. Кривая спроса
Любое количество товара может быть продано по одной и той же цене. Величина средней выручки также будет неизменна и равна этой же цене. Более того, каждая последующая единица товара будет продана по той же цене, что и предыдущая. В этом случае цена равнасредней выручке АR
и предельной выручке MR, что видно на рис.

Рис. Формирование цены при совершенной монополии
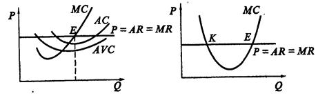
Совместим на одном графике кривые выручки и издержек (рис.). Фирма максимизирует прибыль в точке пересечения Е кривых предельной выручки МR и предельных издержек МС. Речь идет о пересечении кривой предельного дохода с восходящей ветвью кривой предельных издержек.
Рассмотрим случай, когда кривая МR пересекает кривую МС два раза: в точках К и Е (рис.).

В точке К предельные издержки снижаются, следовательно, прибыль возрастает. Фирма будет увеличивать выпуск продукции до точки Е. Это условие максимизации прибыли называется условием второго порядка.
Максимальная прибыль должна быть неотрицательной величиной, в противном случае (когда цена меньше средних издержек) фирма не будет выпускать данный товар, что видно на рис..
Однако, если цена выше средних переменных издержек АVС, хотя и ниже средних общих издержек АС, фирма все же будет выпускать товар (рис.)

Это объясняется тем, что фирма не может уменьшить сумму своих постоянных издержек (рассматривается непродолжительный период) и вынуждена вести производство, если выручка покрывает хотя бы переменные издержки и частично тем самым обеспечивает средства, необходимые для возмещения постоянных издержек.
В более продолжительном периоде такое положение невозможно, некоторые фирмы будут вынуждены покинуть отрасль, что приведет к повышению цены спроса для оставшихся в отрасли фирм. Этот процесс будет продолжаться до тех пор, пока цена не будет покрывать средние издержки оставшихся в отрасли фирм, т. е. Р = АС. Если уход фирм из отрасли будет продолжаться и дальше, то рост цены приведет к превышению цены над средними издержками, оставшиеся фирмы будут получать экономическую прибыль, которая привлечет в отрасль новые фирмы. Приток новых фирм в отрасль обусловит увеличение предложения и снижение цены товара, прибыль фирм будет снижаться. Процесс притока новых фирм в отрасль прекращается, когда цена будет покрывать средние издержки, т.е. Р = АС. В условиях совершенной конкуренции в длительном периоде вход и выход фирм в отрасли определяется равенством цены величине средних издержек (гипотеза о нулевой, чистой экономической прибыли), т. е.

Анализ приведенных графиков показывает, что фирма, максимизирующая прибыль в условиях совершенной конкуренции, может контролировать только один параметр - объем выпуска продукции.
Конкурентная экономика стремится распределить ограниченные ресурсы таким образом, чтобы максимизировать удовлетворение безграничных потребностей. С этой целью эффективное использование ограниченных ресурсов требует выполнения двух условий, которые можно назвать эффективностью распределения ресурсов и производственной эффективностью.
Первое: эффективность распределения ресурсов требует такого распределения ресурсов между фирмами и отраслями, чтобы получить определенный ассортимент продуктов, который наиболее необходим обществу (потребителям).
Второе: производственная эффективность требует, чтобы каждый товар, включенный в оптимальный ассортимент продуктов, производился наименее дорогостоящим способом.
Предприятия используют ресурсы до тех пор, пока предельные издержки производства не оказываются равными цене продукта, т. е. МС = Р. Это не только максимизирует прибыли отдельных производителей, но и одновременно создает структуру распределения ресурсов, которая максимизирует удовлетворение потребителей. Конкурентная система цен организует частные интересы продавцов по направлениям, которые полностью соответствуют интересам общества в целом. Это происходит потому, что в конкурентной рыночной системе, как нам известно, действует «невидимая рука».
Эффективность конкурентных рынков является предметом спора среди экономистов. Одни доказывают, что в условиях чистой конкуренции:
1) стимул к научно-техническому прогрессу не реализуется, так как небольшой размер фирм делает их неспособными финансировать значительные программы научных исследований;
2) сдерживается потребительский выбор и производство новых продуктов, так как она базируется на стандартизированных продуктах. Вывод один: чистая конкуренция не является прогрессивной в отношении развития новой техники и технологии и в этом смысле является тормозом экономического развития. На смену чистой (совершенной) конкуренции приходит несовершенная, к рассмотрению которой мы и переходим.
В действительности совершенная конкуренция является довольно редким случаем, и лишь некоторые из рынков приближаются к ней (например, рынок зерна, ценных бумаг, иностранных валют). Совершенная конкуренция дает исходный образец для сравнения и оценки эффективности реальных экономических процессов.