
Поступательным движением называется перемещение тела, при котором любая прямая, жестко связанная с движущимся телом, остается параллельной своему первоначальному положению. За модель объекта при этом принимается материальная точка, в которой сконцентрирована вся масса объекта. Эта точка расположена в центре масс объекта. Положение центра масс определяется радиус-вектором, равным

Здесь mi – масса i -го элемента объекта; ri – его радиус-вектор; начало этого радиус-вектора совпадает с началом системы координат, а конец – с центром масс i -го элемента.
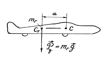
Для успешного осуществления поступательного движения транспортного средства важно располагать в нем груз в соответствии с центром масс С (см. рис.3.2).

Рис. 3.2. К пояснению размещения центра масс груза
на транспортном средстве
Неправильная загрузка может привести к затруднениям в перемещении транспортного средства: потере устойчивости; аварии. Несовпадение размещения центра масс груза С г с центром масс транспортного средства с грузом С приводит к возникновению опрокидывающего момента силы тяжести
M = Pg a = m г g a,
где а – расстояние между точками С и С г, m г – масса груза, g – ускорение земного тяготения, Pg – сила тяжести.
Возникновение опрокидывающего момента приводит к затруднениям, например, при взлете самолета, при посадке, поскольку момент М препятствует обеспечению требуемого положения самолета относительно горизонтальной плоскости. При значительной величине М происходит аварийное падение самолета.
Следует отметить, что положение центра масс самолетов и вертолетов принято называть центровкой. Центровка самолета зависит от заправки топливом и загрузки. Она меняется даже в течение одного полета в связи с расходованием топлива. Центровку определяют перед каждым рейсом самолета. Для этого используются специальные центровочные графики, позволяющие быстро найти центровку самолета в зависимости от количества заправленного топлива, численности пассажиров, массы багажа и груза.






