Совершенные и квазисовершенные коды

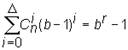
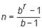
Совершенными (плотно упакованными) называют коды, в которых выполняются соотношения , где D - максимальная кратность исправляемых ошибок; b - основание кода; r - число проверочных символов.

Они отличаются тем, что позволяют исправлять все ошибки кратностью D или меньше и ни одной ошибки кратности больше D.

Число известных совершенных кодов ограничено кодами Хэмминга значности и бинарным циклическим кодом Голея.

Квазисовершенными принято называть коды, исправляющие все ошибки кратности D и ошибок кратности D +1 при условии, что .

Совершенные и квазисовершенные коды обеспечивают максимум вероятности правильного приема комбинации при равновероятных ошибках в канале связи.





Подборка статей по вашей теме: