М.11.13. Каково минимальное число опытов для определения угла внутреннего трения j и удельного сцепления c?
Поскольку неизвестных две величины, то и минимальное число опытов - два (потом решаются два уравнения с двумя неизвестными). Для несвязного грунта, у которого c = 0, минимально возможен один опыт, с помощью которого устанавливается величина угла внутреннего трения j. Это и есть минимальное количество опытов, но исключающее возможность статистической обработки результатов.
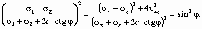
Условие прочности Мора записывается в напряжениях s z, s x и t xz следующим образом:

Это условие получается из рассмотрения прямоугольного треугольника AO¢ B в круге Мора (рис.М.11.14.), где AB =t xz;
.
|
| Рис.М.11.14. Предельный круг Мора и соотношения, следующие из его построения |
Частные случаи следующие:
1) s 2 = 0 - одноосное сжатие;
2) s 2 =-s 1 - чистый сдвиг, когда s 1 +s2 = 0;
3) s 1 = 0 - одноосное растяжение (s2< 0).






