Магнитоэлектрические приборы можно рассматривать как преобразователи электрических сигналов в механические.
Преобразователи электрической энергии в механическую.
Магнитоэлектрические преобразователи делятся на:
1). i → F, M – магнитоэлектрические преобразователи;
2). электромагнитные преобразователи;
3). электростатические преобразователи.
Рассмотрим пример магнитоэлектрического преобразователя:

1 – магнит (магнитотвёрдый материал);
2 – арматура – магнитопровод;
3 – обмотка, помещенная в рабочем зазоре;
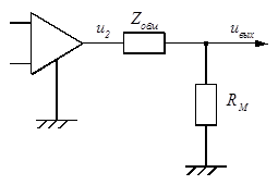
Электрическая схема:

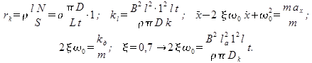
Проведем расчет:

, где
магнитоэлектрический момент,
- позиционный момент, уравновешивающий момент внешних сил,
- электрическая жесткость.
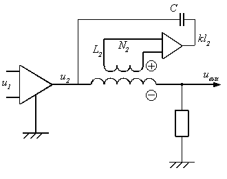
Разберем подробнее обратные преобразователи магнитоэлектрического типа. Он содержит:
1). постоянный магнит;
2). обмотка обратной связи.



Поместим катушку 

Тогда:



1 – тонкостенный металлический каркас (цилиндр);
2 – катушка;
1 – 1 – короткозамкнутый виток.
Каркас катушки – один короткозамкнутый виток. Таким образом:
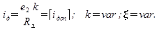
|
|
|

, где t – толщина каркаса.


-, + соответственно отрицательная и положительная обратная связь.
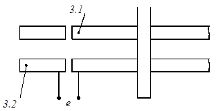
Рассмотрим демпфер магнитоэлектрического типа на базе обратного преобразователя:

3.1 – дополнительная обмотка демпфера;
3.2 – основная обмотка.







