Предположим, что мы собираемся вложить 10000 у.е. либо в долларовые облигации с процентной ставкой 8% годовых, либо в облигации в иенах с процентной ставкой 4% годовых.
Обменный курс сейчас составляет 100 иен за 1 у.е. и, следовательно, сейчас 10000 у.е. стоят 1 млн. иен. Если вложить деньги в облигации в иенах, то через год у нас будет 1030000 иен. Если же поместить капитал в долларовые облигации, то у нас через год будет 10800 у.е.

Выясним теперь при каком обменном курсе нам было бы все равно, какой облигации отдать предпочтение. Для нахождения уровня обменного курса, который выведет нашу инвестицию наточку безубыточности, разделим 1040000 на 10800. Полученный результат — 96,29 иен/у.е. По формуле (4.8.6) при «= 1 получаем подобный результат:

Таким образом, мы можем сделать заключение о выборе одного из рискованных вариантов: если стоимость у.е., выраженная в иенах, упадет за год более чем на 3,71%, облигации, деноминированные в иенах, будут лучшим вариантом инвестирования.
Для приема правильных финансовых решений относительно разных валют следует пользоваться следующим правилом: при любых расчетах, касающихся стоимости денег во времени, денежные потоки и процентная ставка должны быть выражены в одной валюте.
|
|
|
Применительно к нашему примеру это означает, что для расчета приведенной стоимости денежных потоков, выраженных в иенах, мы должны дисконтировать их, используя процентную ставку для инвестиций в иенах. Рассчитать же приведенную стоимость денежных потоков, выраженных в у.е., мы должны, используя у.е. процентную ставку. Расчеты, приведенной стоимости платежей, выраженных в иенах, с использованием у.е. процентных ставок, приведут к ошибочным результатам.
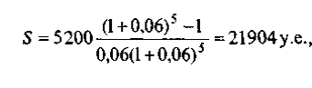
Рассмотрим пример выбора оптимального вложения капитала. Мы имеем возможность вложить 10 000 у.е. в США или Японии. Японский проект будет приносить 500 000 иен дохода в год на протяжении 5 лет, тогда как поступления от американского проекта составят 5 200 у.е. на протяжении пяти лет. Процентная ставка у.е. равна 6% годовых, процентная ставка в иенах — 4% годовых, текущий обменный курс составляет 0,01 у.е. за иену.
Найдем чистую приведенную стоимость американского проекта, используя долларовую процентную ставку 6%, для чего найдем сначала приведенную стоимость:
' 
чистая приведенная стоимость равна

Далее рассчитаем чистую приведенную стоимость японского проекта, используя 4%-ую ставку для иен: -

Теперь переведем приведенную стоимость японского проекта из иен в у.е. по текущему обменному курсу 0,01 у.е. за иену, получим 23149 у.е. Отняв начальные издержки в размере 10000 у.е., мы найдем, что чистая приведенная стоимость равна 23 149 - 10000 =13 149 у.е.
|
|
|
Таким образом, чистая приведенная стоимость японского проекта выше, и на нем нам следует остановить свой выбор.
Отметим, что если бы мы ошибочно подсчитали S японского проекта, используя процентную ставку у.е. (6%), то чистая приведенная стоимость, которую бы мы получили, равнялась бы всего:

и мы выбрали бы менее рентабельный американский проект. J






