Валютные риски
Валютный риск, или риск курсовых потерь, связан с созданием интернациональных (совместных) предприятий и банковских учреждений и диверсификацией их деятельности и представляет собой возможность возникновения денежных потерь в результате колебаний валютных курсов. При этом изменение курсов валют происходит в силу действия таких факторов, как, например, изменение внутренней стоимости валют, постоянный перелив денежных потоков из страны в страну, спекуляции и т.д.
Ключевым фактором, характеризующим любую валюту, является степень доверия к валюте резидентов и нерезидентов. Доверие к валюте — сложный многофакторный критерий, состоящий из нескольких показателей (например, показатель доверия к политическому режиму — степень открытости страны, либерализация экономики и режим обменного курса, экспортно-импортный баланс страны, базовые макроэкономические показатели и т.п.).
Однако это касается только определенного типа режима валютного курса, а именно — свободно плавающего курса. На сегодняшний день в мировой практике существует несколько типов режимов валютных курсов в зависимости от специфики стран.
|
|
|
Рассмотрим процесс конверсии (обмена) валюты и наращения как простых, так и сложных процентов.
Если имеется возможность обмена рублевых средств на у.е. (под у.е. понимается СКВ) и наоборот, то целесообразно сравнивать результаты от непосредственного размещения имеющихся денежных средств в депозиты или опосредованно через другую валюту. Поэтому процесс конверсии для наращения процентов может происходить по одной из двух схем: у.е. —> руб. —» руб. -» у.е. или руб. —> у.е. — у.е. —» руб.
Двойное конвертирование валюты является рискованным, т.е. оно может быть и убыточным. В операции наращения с конверсией валют существует два источника дохода: изменение курса и наращение процента.
Для рассмотрения процесса конверсии введем следующие обозначения:
Ру — сумма депозита в у.е.;
Рr— сумма депозита в руб..;
Sy— наращенная сумма в у.е.;
Sr— наращенная сумма в руб.;
Кн — курс обмена в начале операции (курс у.е. в руб.);
Kk — курс обмена в конце операции;
iy — ставка наращения для конкретного вида у.е.;
ip — ставка наращения для рублевых сумм;
n—срок депозита.
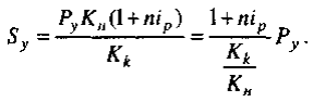
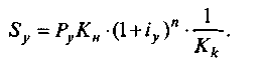
Вся операция предполагает три шага: обмен валюты на рубли, наращение процентов на эту сумму и, наконец, конвертирование в исходную валюту. Конечная (наращенная) сумма в валюте определяется как:

Три сомножителя в этой формуле
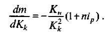
соответствуют этим трем шагам. Множитель наращения с учетом двойного конвертирования рассчитывается как:

Анализ этой формулы показывает, что с ростом ip множитель линейно увеличивается, в свою очередь рост конечного курса уменьшает его — производная множителя по этому курсу
|
|
|

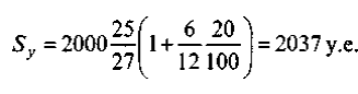
Пример 4.31. Предполагается поместить 2000 у.е. на рублевой депозит. Курс продажи на начало срока депозита 25 руб. за I у.е., ожидаемый курс покупки 27 руб. Процентные ставки: ip = 20%, iy = 10%. Срок депозита 6 месяцев.
Решение. По формуле (4.8.1) имеем:

В свою очередь прямое наращение исходной валютной суммы по ставке 10% дает

что выгоднее.
Рассмотрим следующую ситуацию. Пусть процентная ставка по государственным облигациям США намного выше, чем по государственным облигациям Японии, и они имеют приблизительно одинаковый срок погашения. Хотя облигации данного класса свободны от риска неплатежа, но это не приведет к поголовной скупке инвесторами облигаций США. Причина этого заключается в том, что номиналы этих облигаций выражены в разной валюте: облигации США в у.е., а японские — в иенах. Несмотря на то, что облигации обеих стран данного класса предлагают надежную ставку доходности в валюте этих стран, ставка доходности в любой другой валюте будет неопределенной, поскольку она зависитот обменного курса этих двух валют на момент получения платежа в будущем.
Проиллюстрируем это утверждение следующим примером. Пусть мы решили приобрести облигации США на 400 у.е. Процентная годовая ставка по государственным облигациям Японии составляет 4%, а по облигациям США 8%. Валютный курс, который представляет собой цену одной валюты, выраженную через другую, равен 100 иен за 1 у. е.
Представьте себе, что вы являетесь японским инвестором, который хочет инвестировать свой капитал в иенах в какие-либо надежные активы. Купив японские облигации, вы гарантируете себе 4%-ый доход. Если же приобрести облигации США, ставка доходности в иенах будет зависеть от того, каким будет курс обмена иены и у.е. спустя год.
Вам нужно конвертировать 40000 иен в у.е., т.е. сумма вашего первоначального капиталовложения составит 40000 иен. Поскольку процентная ставка по облигациям США равна 8%, то через год вы получите 432 у.е. Однако стоимость этой суммы переведенной в иены, предсказать невозможно, поскольку будущий валютный курс не знает никто. Имеем типичную рисковую ситуацию в условиях неопределенности.
Следовательно, фактическая ставка доходности, полученная в результате этой операции, будет следующей:

Представим, что за год курс у.е. упал и составил 95 иен за 1 у.е. Тогда действительная ставка доходности в иенах по облигациям США будет равна:

Таким образом, реальная ставка доходности составит 2,6%, что меньше 4%, которые вы могли бы получить, приобретя японские облигации с таким же сроком погашения.
Далее рассмотрим конверсию валюты, когда наращение осуществляется по сложным процентам. В отличие от простых процентов ставки ip здесь означает годовую ставку наращения суммы в рублях по сложным процентам.
Трем этапам операции (конверсия, наращение процентов, конверсия) соответствуют три сомножителя следующей формулы:
(4.8.3)
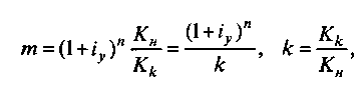
Множитель наращения с учетом двойного конвертирования составит:
(4.8.4)
к — темп роста курса валюты.
Определяя доходность операции в целом в виде ставки процентов, обратившись при этом к (4.2.2), имеем:
(4.8.5)
Из последнего соотношения видно, что эффективность операции определяется отношением годового множителя наращения по принятой ставке к среднегодовому изменению курса; с увеличением темпа роста курса к эффективность падает.
Пример 4.32. Операция, в которой ожидаемое соотношение
курсов валюты за три года определяется как 28/26—, а вложение конвертированных средств произведено под 12%, принесет владельцу денег доход, равный:

Следовательно, эффективность операции равна нулю и, очевидно, не следует заниматься этой рискованной операцией.
|
|
|
Максимально допустимое значение к, при котором доходность операции будет равна доходности при прямом инвестировании валютных средств по ставке iy, находится из равенства: -

Для рассматриваемого примера, если предположить, что на рынке данная валюта может быть инвестирована по ставке 6% годовых, максимально допустимое значение к будет равно:

. Соответственно ожидаемый курс валюты на конец операции не должен быть больше 26 • 1,18 = 30,68.






