Топливные элементы представляют собой специализированные химические реакторы, предназначенные для прямого преобразования энергии, высвобождающейся в ходе реакции окисления топлива, в электрическую энергию.
Топливные элементы питания - электрохимические элементы, требующие в процессе работы постоянного расходования электродного вещества.
Принципиальные отличия от гальванических батарей:
Во-первых, в топливных элементах используются не расходуемые в процессе работы электроды,
во-вторых, необходимые для проведения реакции вещества подаются извне, а не закладываются внутрь элемента изначально
Теория топливных элементов была разработана в 1839 году английским ученым Вильямом Гроувом,
в 60-х годах ХХ века НАСА начало использовать топливные элементы в космосе.
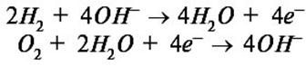
Принцип действия топливного аккумулятора
на примере элемента на кислороде и водороде. В таком элементе происходит поглощение водорода и кислорода в присутствии щелочного раствора.

Кислород и водород поступают в элемент сквозь пористые угольные электроды, а электродные реакции описываются уравнениями:
|
|
|

В результате окислительно-восстановительных необратимых реакций образуется вода.
Реакция окисления-восстановления происходит она не на электродах, а в топливе. Масса электродов в процессе работы никогда не меняется, а топливо служит в качестве источника свободных электронов.
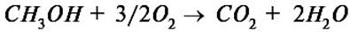
Технология топливных батарей на метаноле (Direct Methanol Fuel Cell, DMFC) - самая перспективная технология топливных элементов в настоящее время.
Топливо - метиловый спирт, или метанол (CH3OH).
На аноде топливного элемента, выполненного из пластинчатого углерода, происходит реакция окисления метанола, в результате которой образуются электроны, необходимые для создания постоянного тока. Побочными продуктами реакции окисления являются углекислый газ и протоны (H+):
CH3OH + H2O → CO2 + 6H+ + 6ē
На катоде из пластинчатого углерода происходит реакция восстановления кислорода воздуха, в результате которой образуется вода:

В DMFC-топливном элементе окислительная и восстановительная реакции физически разделены с помощью ионной полимерной мембраны (Polymer Electrolyte Membrane, PEM), пропускающей протоны от анода к катоду. Структурная схема DMFC-топливного элемента:

В метаноловом топливном элементе метанол разлагается на углекислый газ и воду:

Типичная схема DMFC-элемента содержит несколько субкомпонентов, таких как картридж с топливом, датчик метанола, насос для обеспечения циркуляции топлива, воздушный насос, теплообменник и т.д







