Отражательная способность горных пород зависит от минералогического состава, вещественного состава, генетической природы и соответственно является их диагностическим признаком при ДМИ.
Этот снимок острова Bathurst в Канаде был получен при помощи радиолокатора РАДАРСАТ 21 марта 1996 года. Самая примечательная характеристика на этом изображении - это поразительное проявление на них геологических объектов. Темное пятно в центре снимка (А) это бухта Bracebridge, которая граничит с Северным Ледовитым океаном на западе рассматриваемой области. Из этой бухты на восток простилается широкая долина, которая называется Проход Полярного Медведя.
Геологию острова Bathurst характеризуют примечательные извилины ущелий. Верхние несколько километров многоуровневых скал деформированы в серию впадин, которые четко видны на снимке РАДАРСАТ.
Светлые тона на этом изображении (С) представляют собой залежи известняка, а темные тона (В) - наносы камней. Границы между этими двумя средами точно и легко определяются по снимку.
К числу первых работ, в которых приведены спектральные яркости поверхностей горных пород и доказано значение их выборочных измерений для интерпретации аэрофотоснимков, относится публикация Рея и Фишера. На основании экспериментов ими было установлено, что литофациальные различия между горными породами некоего ландшафтного района не всегда контрастны и поэтому они не всегда уверенно могут быть выделены повторно на аэрофотоснимке, сделанном на нормальной черно-белой панхроматической пленке. Эти исследователи искали технику съемки и обработки, которая позволила бы лучше использовать отражательную и поглотительную способность различных типов горных пород и тем самым получить улучшенные по контрастности вторичные данные для определенных разностей горных пород на черно-белых аэрофотоснимках. Рей и Фишер искали спектральный канал, соответственно диапазон длин волн, в котором отражательные способности определенных разновидностей пород были бы наиболее различны. С помощью колориметра они исследовали отражательные способности выветрелых и свежих проб глинистых сланцев, известняков и песчаников из Нью-Мексико. Они установили, как изменяется отражательная способность отдельной поверхности горной породы, и построили по этим данным графики отражения по спектру. Форма и положение кривой на нем показывают, сколько процентов энергии светового потока отразилось от поверхности горной породы в определенном интервале длин волн (рис. 6 и 7).

Рис. 6. Спектральные отражательные способности четырех типов горных пород: светло-коричневого песчаника (А), серого известняка (В), красного алевролита (С) и серого песчаника (D)
В общем отражательная способность изученных горных пород уменьшается с уменьшением длины волны (рис. 6).
Если сравнивать положение отдельных спектральных кривых этого графика, то можно определить:
1. области спектра, в которых кривые подходят близко друг к другу или пересекаются;
2. области спектра или, зоны спектра, в которых отражательные способности изученных горных пород явно сходны;
3. зоны спектра, в которых кривые отражения разных пород со всей очевидностью расходятся между собой. В этой спектральной зоне изученные типы пород отражают падающий световой поток с наибольшим различием.
Еще лучше это видно на рис. 7, где представлены кривые отражения красного алевролита (А) и выветрелого серого известняка (В). В зоне спектра 0,45-0,5 мкм, так же как в зоне 0,65-0,7 кмк, различие в отражательной способности обоих типов горных пород особенно четко выражено. В зоне 0,45-0,5 мкм (голубой) известняк (5) отражает падающий на него световой поток намного сильнее, чем красный алевролит (А). Напротив, в зоне 0,65-0,7 мкм (красной) отражение красного алевролита (А) намного больше, чем известняка (В). В зоне 0,575 мкм отражательная способность обеих пород одинакова, здесь пересекаются их спектральные кривые.

Рис. 7. Спектральные отражательные способности двух типов пород: красного алевролита (А) и выветрелого серого известняка (В (Ray R.G., Fisher W.A., 1960)
На этом примере выясняется, что: а) различие в отражательной способности двух типов горных пород в определенном интервале длин волн или части спектре выражено сильнее, чем в других; б) отношение отражательных способностей двух типов горных пород в диапазоне видимого излучения может обращаться; в) спектральные характеристики различных горных пород в определенном интервале длин волн могут быть похожи или одинаковы.
Из анализа графиков (рис. 6) следует, что различия отражательных способностей двух или более типов горных пород в видимом диапазоне электромагнитного излучения могут более или менее меняться. Так, в коротковолновой части спектра кривые спектральной яркости светло-коричневого песчаника (А), серого известняка (В) и серого песчаника (D) находятся близко друг к другу. Породы, имеющие разные цвет, минеральный состав и величину зерен, имеют похожие формы кривых спектральной яркости. С другой стороны, эти три разности пород отражают падающий на них световой поток в голубой части спектра сильнее, чем красный алевролит (С). В красной части спектра (около 0,65-0,7 мкм) светло-коричневый песчаник (А) отражает падающий на него световой поток сильнее, чем серый известняк (В), красный алевролит (S) и серый песчаник (D), которые в этой части спектра обнаруживают близкие спектральные характеристики.
Если бы для съемки местности с обнажениями пород типа А и В была применена комбинация фильтр-пленка, при которой через светофильтр на пленку попадали бы лучи определенного цвета, т.е. длины волны, например, голубые (0,4-0,5 мкм) или красные (0,6-0,7 мкм), то можно было бы ожидать, что на такой спектрозональной (узкозональной) фотографии резкими контрастами оттенков серого тона выделятся красные аргиллиты (А) и серые известняки (В). На таком снимке, сделанном в голубой зоне спектра, темно-серые известняки выделились бы более светлыми, а красные аргиллиты – более темными оттенками. На аэрофотоснимке, сделанном в красной зоне спектра, фототона изменились бы на противоположные, но сохранилась бы величина контрастности между ними.
Если местность с четырьмя выделенными типами пород (рис. 6) сфотографировать в лучах голубой зоны спектра, то на аэрофотоснимке обнажения пород типа С выделятся самым темным оттенком серого тона среди более светлых оттенков, соответствующих более сильно отражающим выходам пород других типов (А, В и D). При соответствующей пропусканию красных лучей комбинации фильтр-пленка на узкозональном снимке обнажения пород типа А выделятся самыми светлыми тонами среди более темных в этот раз выходов пород типа В или C/D. Основываясь на этих сведениях и используя подходящие комбинации фильтр-пленка, Рей и Фишер добивались наиболее контрастных изображений различных типов горных пород на аэрофотоснимках. Их исследования показали прежде всего, как важна технология съемки, тот спектральный диапазон, в котором производится съемка местности и который определяется спектральными характеристиками (каждый раз своими) материалов или сред – поверхностей природных и антропогенных объектов съемок. В методике исследований и использовании экспериментальных данных, примененных Рейем и Фишером, были заложены важнейшие начала для развития, начавшегося несколькими годами позднее развития многозональных съемок и способов обработки и данных при дистанционном зондировании.
Для выбора оптимального спектрального канала или диапазона съемки и получения оптимального изображения при обработке данных дистанционного зондирования прежде всего необходимо знать отражательные и поглотительные способности интересующих материалов (объектов съемки) в предполагаемом диапазоне длин волн. В 1960-1970 гг. изучению этих закономерностей были посвящены измерения отражательных способностей (альбедо) важнейших минералов и горных пород в лабораториях, на местности, а также с самолетов и спутников. Исследования ограничивались сначала измерениями в видимом и ближнем инфракрасном диапазонах электромагнитного излучения. Позднее стали изучать спектральные яркости минералов и пород в среднем ИК-диапазоне, а также их эмиссионную способность (или коэффициенты теплового излучения) их в температурном, или тепловом, диапазоне инфракрасного излучения.
Отражательные способности важнейших минералов и горных пород в видимом и ближнем ИК-диапазонах в лабораторных условиях всесторонне исследовали Хант и его коллеги. Результаты их исследований послужили важнейшим началом для всех последующих измерений спектральных характеристик горных пород.
В природных условиях отражательная способность, или альбедо, естественных поверхностей определяется влиянием ряда переменных параметров, которые лишь частично зависят от материала поверхности, а частично связаны с влиянием окружающей среды. Точнее, сравнение данных лабораторных и полевых измерений показало, что спектральная яркость одинаковых типов горных пород изменяется в зависимости от величины окна или щели спектрометра или радиометра, т.е. поля измерений, в котором проводится определение коэффициента спектральной яркости объекта. Если при лабораторных измерениях охватывается площадь в несколько квадратных миллиметров, то для полевого спектрометра или радиометра поле измерений может меняться от квадратных дециметров до квадратных метров, что зависит от технических данных прибора и методики измерений. Мультиспектральный сканер, установленный на борту спутника «Лэндсат», охватывает минимальную площадь около 6000 м кв. Кроме того, поверхности проб, измеряемых в лаборатории, гомогенны. Естественные природные поверхности, которые попадают в поле измерений спектрометра, радиометра или сканера, установленного на борту самолета или спутника, почти всегда гетерогенны, неоднородны, из-за возможных различий в структуре поверхности, вариаций минерального состава и т. п. Доказано, что с изменением содержания железистых минералов может меняться спектральная яркость поверхности горной породы, так как изменяется почвообразование, вид и состав растительности на ней. Спектральные яркости поверхностей горных пород, которые были получены в разное время, в разных районах и с помощью разных измерительных и съемочных систем, зависящих от назначения съемок, едва ли следует прямо сравнивать и сопоставлять друг с другом. Несмотря на это, имеющиеся данные прежних спектральных измерений показывают, что относительные различия в отражательной, поглотительной и эмиссионной способностях важнейших типов горных пород могут быть использованы при ландшафтных исследованиях и составлении тематических карт.
Результаты некоторых основополагающих исследований спектральных характеристик минералов и горных пород.
Уотсон провел исследование четырех типов горных пород одной из долин шт. Оклахома в лабораторных и полевых условиях. Им были выбраны свежие размельченные пробы кварцевого песчаника и гранита, штуфы выветрелого известняка, гранита и доломита, а также покрытые коркой лишайников граниты. Каждый раз измерялись спектральные яркости нескольких проб разных типов пород. По данным проведенных измерений были построены графики (рис. 8а), на которых показана отражательная способность пород (в процентах по отношению к референц-поверхности, т. е. эталонной белой матовой поверхности).

Рис. 8а. Спектральная отражательная способность свежей и выветрелой поверхности различных горных пород. (Spectral reflectance and photometric properties of selected rocks, by R. Watson, Remote Sensing of Environment, Vol. 2, 1972, pp. 95-100.)
1 – стандартная поверхность; 2 – кварцевый песчаник (свежий скол); 3 – гранит (свежий скол); 4 – гранит, покрытый зеленым лишайником; 5 – известняк выветрелый; 6 – гранит выветрелый; 7 – доломит выветрелый.
В большинстве случаев в видимой части спектра свежие, невыветрелые поверхности гранитов отражают излучение сильнее, чем поверхности тех же пород, но выветрелые или покрытые лишайниками. Выветрелые шероховатые поверхности хуже отражают во всех интервалах длин волн.
В видимом диапазоне электромагнитных волн поверхности выветрелых известняков отражают большую часть падающего излучения всегда сильнее, чем поверхности выветрелых доломитов (рис. 8а). Кварцевый песчаник на свежем изломе благодаря своей чистой и однородной поверхности отражает падающий поток значительно сильнее, чем другие типы пород (рис. 8а).
Уотсон [315] подчеркивает, что сравнение значений отражения, измеренных в лаборатории и на местности, может быть только приближенным. Прежде всего напомним, что спектрометром в лаборатории и на местности измеряются разные по величине площади. Уже поэтому возможны сильные различия в измеренных величинах отражения. К тому же угол освещения в лаборатории постоянный или регулируемый, а в естественных условиях, на природе, угол падения солнечных лучей меняется в зависимости от времени дня и года, что приводит к переменному освещению объекта. Различные значения естественной освещенности изменяют интенсивность спектрального отражения одних и тех же поверхностей в течение дня и в разное время года. Поэтому значения спектральных яркостей, полученные в разное время наземными измерениями или в результате облетов тестовых участков, не сопоставимы или сопоставимы условно друг с другом.
Т.о., вторичные геологические процессы (гидротермальные изменения пород, выветривание и др.), с которыми может быть связано формирование месторождений полезных ископаемых, или развитие современных явлений осложняющих геоэкологическую обстановку (участки неблагоприятные для строительства инженерных сооружений и др.), существенно меняют спектральные характеристики пород
Это широко используется при ДМИ. Особенно сильно меняются спектральные характеристики пород при развитии глинисто-слюдистых, карбонатных и гидроксил-содержащих минералов, гидроокислов железа.
Известны многочисленные положительные примеры (бывший СССР, США, Франция и др.) использования ДМИ в воздушном и космическом вариантах как прямых методов поисков месторождений меди, урана, золота и других полезных ископаемых.
Еще одно сравнение отражательной способности выветрелых и свежих поверхностей горных пород: риолита, базальта и туфа (рис. 8б) – свидетельствует об уменьшении величины коэффициента отражения на выветрелых поверхностях. Как видно из графика, форма характеристических кривых почти не меняется, что можно объяснить устойчивостью спектральных признаков определенных типов пород.

Рис. 8б. Спектральная отражательная способность свежей и выветрелой поверхности горных пород на примере риолита (К), базальта и туфа. (The multiband approach to geological mapping from orbiting satellites: is it redundant or vital? by R.J. Lyon, Remote Sensing of Environment, Vol. 1, 1970, pp. 237-244.
А – риолит; В – гидротермально измененный базальт; ВТ – туф с аметистом; индекс W выветрелые пробы.
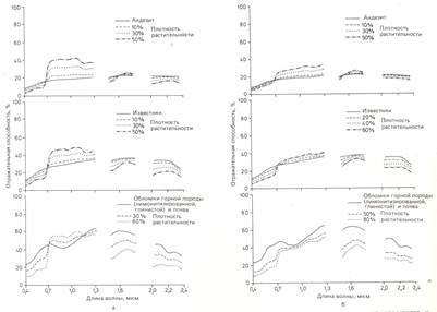
Рассмотрим теперь количественную зависимость спектральной яркости поверхностей разных типов горных пород от густоты покрывающей их растительности [279]. Эти измерения проводились в поле спектрометром с шириной диапазона измерений от 0,45 до 2,4 мкм, т. е. от видимого до среднего (отраженного) инфракрасного излучения, с высоты около 1,3 м при площади измерений около 200 см кв. В качестве объектов были выбраны поверхности андезита, базальта, риолита, лавы (красно-оранжевой), кварца, трахиандезита (латита), известняка, красного глинистого сланца, лимонитизированных и аргилитизированных щебня и почвы, окварцованного известняка и мраморизованного доломита с лимонитом. Поверхности каждого типа пород были покрыты неоднородным по густоте покровом зеленых луговых трав, и семени сосны, а также кустиками толокнянки и увядшего шалфея.
Влияние плотности растительного покрова на величину спектрального отражения андезита, известняка и глиноземистых лимонитизированных выветрелых почв показано на рис. 10. На этих графиках сопоставляется яркость не покрытых растениями и заросших поверхностей горных пород (густота растительности в поле измерения спектрометра выражена в процентах). Как и ожидалось, эффект растительности в спектре отраженного потока энергии четко выражен только для горных пород с незначительным альбедо. Уже при 10% луговых злаков спектральные характеристики андезита и известняка маскируются спектральным сигналом луговой растительности (рис. 10, а). Даже при незначительном растительном покрове была затруднена идентификация спектральных сигналов пород этих двух типов.


Рис. 3.5. Влияние растительности разных видов и разной плотности на спектральную яркость андезита, известняка и лимонитизированной глинистой почвы с обломками выветрелой горной породы (почва на коре выветривания): а - луговые травы; б - заросли толокнянки; в - заросли засохшего шалфея. Плотность растительности показана в процентах на каждом графике (Кронберг, 1988)
Увядающая или увядшая растительность почти не дает маскирующего эффекта для спектральных сигналов подстилающего основания. Это очевидно из сравнения двух рассмотренных групп графиков (ср. рис. 10, а, б). Даже при плотности покрова около 60% спектральные признаки подстилающей его почвы сохраняются. Конечно, с увеличением густоты растительности уменьшается альбедо известняка и лимонитизированной глиноземистой почвы.
Сухая и увядающая растительность изменяет характер спектра пород и почв мало. Она только уменьшает величину альбедо.
Таким образом, наличие (процент распространения), характер (живая, сухая) и тип растительности (вид) по-разному влияют на спектральные характеристики горных пород. Особенно сильно влияние на породы, характеризующиеся низким альбедо: андезиты, известняки, глины и продукты их разрушения.
Изучение спектральных характеристик природных объектов способствовало выбору двух наиболее оптимальных интервалов длин волн: 1,2-1,3 и 1,6-2,2 мкм, в которых возможен поиск медно-порфирового оруденения в неизмененных интрузивных, вулканогенных и осадочных породах по зонам вторичных минералов и пород, образующихся в результате гидротермальных изменений.
В результате лабораторных измерений было установлено, что определенные минералы, которые встречаются в зонах гидротермально измененных пород близ месторождений, например, медно-порфировых руд, имеют специфические спектральные признаки, особенно в интервале длин волн 2,1-2,4 мкм. Эти признаки можно использовать для дистанционного зондирования. Так, каолинит, монтмориллонит, алунит и кальцит распознаются по характерным узким и широким полосам поглощения энергии в среднем инфракрасном диапазоне (рис. 12). Исходя из предположения, что с помощью десятиканального радиометра с диапазоном измерений 0,5-2,3 мкм удастся отыскать для начала хотя бы каолин или карбонатные породы по их спектральным характеристикам, были проведены экспериментальные съемки с борта космического корабля многоразового использования «Спейс шаттл Колумбия». Наряду с измерениями в специфических узких зонах спектра были предложены и измерения в определенной комбинации зон или каналов для доказательства возможности определения интересующих минералов. Проведенными на тестовом участке исследованиями была доказана эффективность предложенной комбинации двух каналов; 1,6 и 2,2 мкм. Первый из них очень важен для обнаружения гидроксильных групп в минералах, типичных для гидротермально измененных зон месторождений. По данным проведенных измерений в обоих этих каналах оказалось возможным различать лимонитизированные, гидротермально измененные породы и магматические породы в большинстве случаев тоже с лимонитом, который образуется в результате окисления железо-магниевых минералов и раскристаллизации стекла. Кроме того, обнаружились сильно осветленные гидротермально измененные породы без лимонита, если они имели в своем составе минералы с гидроксильной группой ОН-.

Рис. 12. Спектральная отражательная способность некоторых минералов, встречающихся на участках развития гидротермальных изменений в горных породах (по данным лабораторных измерений [186]). Для определения минералов важным оказалось положение спектральных полос поглощения, 1 – каолинит; 2 – монтмориллонит; 3 – алунит; 4 – кальцит.
Использование среднего инфракрасного диапазона стало возможным только в последние годы благодаря разработке таких приемников, которые позволили проводить эти измерения. Тематические изображения-схемы получаются многозональным сканером спутника «Лэндсат-4», имеющим специальный канал 2,2 мкм, предназначенный для составления карт литофаций или минеральных фаций.
По результатам одного из экспериментов, проведенного для решения геологических задач дистанционными методами, был сделан вывод об эффективности спектрометрирования в следующих зонах спектра: 1,18-1,3; 4,0-4,75; 0,46-0,50; 1,52-1,73; 2,10-2,36 мкм. Этот вывод основан на результатах обработки данных с одного тестового участка в шт. Юта. Измерения проводились многозональным сканером во время облета территории участка с обнаженными выходами пород основных типов – осадочных и интрузивных, а также с зонами их вторичных гидротермальных изменений. Размер поля измерения по поверхности изучаемой породы составлял около 0,24 км кв. Для всех типов пород измерения проводились по 15 каналам с интервалом между ними 0,34-0,75 мкм. С помощью дискриминантного анализа были выявлены зоны, в которых чаще всего проводилась съемка всех разностей пород с оптимальным контрастом специфических разностей пород по отношению к другим типам. Запись выделенных зон предназначалась для повторного изучения и картирования литофациальных разностей. Использованный мультиспектральный сканер имел спектральное разрешение в видимом диапазоне 0,04-0,06 мкм, в ближнем ИК-диапазоне 0,05-0,26 мкм и в тепловом диапазоне 0,25-0,36 мкм. Только один из спектральных каналов этого сканера действовал в том же спектральном диапазоне, что и сканеры первых спутников «Лэндсат» – от 0,4 до 1,1 мкм, остальные четыре оптимальных канала работали в длинноволновой, инфракрасной, области излучения, значение которой подчеркивалось вышеприведенными примерами.
Исследованиями спектральных характеристик неизмененных и измененных пород близ урановых месторождений установлен ряд спектральных зон: 1,25; 0,95; 2,20; 2,15; 1,75; 2,45; 2,10; 1,60; 1,55 и 0,75 мкм, измерения в которых, проведенные в указанной последовательности, наиболее эффективны для разделения литофаций в районах урановых месторождений. Этот пример подчеркивает значение спектральных съемок в строго ограниченных узких зонах спектра, в которых более или менее эффективно можно использовать методы дистанционного зондирования при поисково-разведочных работах.
Спектральная характеристическая яркость горных пород сильно зависит от величины окна или щели спектрометра или радиометра, т. е. поля измерения (зрения). Чем уже поле, тем выше контрасты в спектральной яркости, тем лучше разрешение по местности. Это обусловлено тем, что уменьшается влияние рассеянного излучения.
Пространственное разрешение - величина, характеризующая размер наименьших объектов, различимых на изображении (найти примеры снимков горных пород).
Важным является выполнение ДМИ в разных частях спектра, где различные свойства горных пород обладают контрастными спектральными характеристиками. Это достигается при использовании мультиспектральных сканеров, которые имеют спектральное разрешение: в видимом диапазоне - 0,04-0,06 мкм; в ближнем инфракрасном диапазоне - 0,05-0,26 мкм; в тепловом диапазоне - 0,25-0,36 мкм. При этом съемка одновременно производится в пяти и более диапазонах (примеры снимков).
Вторичное тепловое излучение горных пород (эмиссия)
Наряду с характеристиками спектрального отражения поверхностей горных пород и почв в видимом и ближнем ИК-диапазонах в 1960-е годы часть геологов интересовалась и вторичным тепловым излучением горных пород, которое надеялись использовать при дистанционном зондировании.
В результате исследований, проводившихся с конца 50-х годов, было установлено, что форма кривых на графиках вторичного теплового излучения горных пород тесно связана с минеральным составом пород, что силикатные и несиликатные породы можно различать по спектрам их вторичного теплового излучения в диапазоне 8-13 мкм и что, наконец, можно разделить по этим же спектрам силикатные породы разного минерального состава. Признаком для распознавания во всех случаях служило положение минимумов на графиках вторичного теплового излучения горных пород.
Рассмотрим группу графиков энергии вторичного теплового излучения, полученных при измерениях некоторых грубозернистых свежих измельченных проб гранитов из Новой Англии. Цвет отдельных проб меняется от темно-серого до коричневого, розового или голубоватого. Но различие в цвете, по мнению Лайона и Грина, не влияет на интенсивность эмиттерного излучения. Измерение положения минимума энергии на графиках (рис. 14) вызвано изменениями в минеральном составе проб (химическом модуле) кварцевых гранитов (D и E) и щелочных полевошпатных гранитов (F). Для сравнения приведены оба минимума в спектре излучения кварца (Q).

Рис. 14. Спектральные излучательные способности свежей поверхности грубозернистых гранитов из Новой Англии [192]. Q – эмиссионный минимум кварца, для сравнения. Вертикальные стрелки показывают, где эмиссия равна 1.
В принципе на спектральную характеристику поверхности горной породы или почвы влияют многочисленные факторы, как зависящие от свойств поверхности объекта измерения, так и не зависящие от них, а связанные с его окружением и атмосферой. Однако для регионов, в которых обширные участки территории лишены растительного покрова, например в аридных областях, в высокогорных районах и т. п., сканером при тепловой съемке охватываются большие площади обнаженных горных пород. Здесь можно использовать минимумы на графиках вторичного теплового излучения объектов, закономерно связанные с их минеральным составом, для интерпретации определенных литофациальных разностей пород или их комплексов. Это предположение было доказано при сканерных самолетных тепловых съемках: участки обнаженных горных пород разного состава наиболее контрастно были переданы оттенками серого тона в двух диапазонах: 8-9 и 9-11 мкм. Наименьшие значения величин этого отношения имеют горные породы или почвы, в состав которых входят кварц или плагиоклазы. Более высокие значения величин этого отношения свидетельствуют о бедности пород или почв кварцем и полевыми шпатами. Но окончательно вопрос об оптимальности (и эффективности) использования этих двух спектральных диапазонов для изучения литофациальных особенностей регионов по данным тепловых съемок и влиянии на них атмосферных и других помех при прохождении сигнала к приемнику, установленному на борту носителя – самолета или спутника, – не решен на современном этапе исследований.
Диагностическими признаками пород являются в первую очередь положение минимумов и другие характеристики графиков, а также отношение спектральных сигналов разных диапазонов (8-9 и 9-11 мкм, рис. 3.6).

Рис. 3.6. Спектральная излучательная способность базальтов (А и Б), кварцевого монцонита (Е и F) и гранодиорита (I). Вертикальные стрелки показывают где эмиссия равна 1, а горизонтальные - 0,9. (Ljon, Green, 1975.)
Таким образом, решающее значение для внедрения методов тепловых сканерных съемок в геологические исследования имеет возможность одновременного проведения спектрометрирования по многим критическим (характерным) спектральным диапазонам, т.е. возможность проведения многозональной тепловой сканерной съемки с самолетов или спутников, а также возможность компьютерной обработки ее результатов и представления данных в виде оптимизированных по контрастности изображений.
Таким образом, вторичное тепловое излучение горных пород определяется их физическими свойствами: - теплопроводностью, плотностью, удельной теплоемкостью, температуропроводностью, теплопереносом (температурной инерцией). В свою очередь эти свойства зависят от вещественного, минералогического и химического состава. Особенно сильно влияет соотношение темноцветных (железо-магниевых) и светло цветных минералов.
Контрастно это видно по изменению коэффициента вторичного теплового излучения (коэффициента эмиссии) в дневное и ночное время (рис. 2.5). Одни объекты "ярче смотрятся" в дневное время, другие - ночью. Важным является время съемок. Наиболее предпочтительны предрассветные и полуденные часы.

Температуры поверхностей различных материалов в течение суток (Lowe, 1969). 1 –вода в луже; 2 – гравий; 3 – скошенный газон; 4 – бетон; 5 – газон; 6 – крыша дома
Компьютерная обработка данных тепловых сканерных съемок и их визуализация (оттенки серого цвета или цветовая окраска) позволяют получать контрастные тепловые снимки.
Тепловая сканерная съемка выполняется, как правило, по нескольким наиболее информативным (характерным) спектральным диапазонам. Исследования в инфракрасном диапазоне обычно выполняются совместно с использованием видимого диапазона, что позволяет учесть сильное влияние теневых участков (в дневное время) на результаты ИК-съемки.
Количественная обработка данных многозональных съемок, в том числе и тепловыми сканерами и радиометрами, приобретает с каждым днем все большее значение. Уже сейчас дистанционное зондирование основывается на температурных особенностях почв, растительных сообществ или горных пород при решении оперативных задач мониторинга среды. Различные тепловые свойства горных пород (табл. 1а) и различные коэффициенты вторичного теплового излучения или коэффициенты эмиссии (табл. 1 б) приводят к разному их нагреванию днем и охлаждению ночью, что определяется по температурным контрастам в суточном ходе температур, который используют при дистанционном зондировании.
Здесь важно подчеркнуть, что даже информация об относительном различии в радиационных температурах поверхности объектов может оказаться решающей при геологическом дешифрировании снимков, так как возможны дополнительные критерии оценки, которые нельзя получить съемками в видимом диапазоне электромагнитных волн.
Таблица 1а. Термические свойства различных горных пород и воды при температуре 20°С.
| Горные породы | Теплопроводность | Плотность, Р | Удельная теплоемкость С | Температуропроводность а | Теплоперенос Р (температурная инерция) | |||||
| Базальт | 0,0209 | 2,8 | 0,83 | 0,009 | 0,221 | |||||
| Глина (влажная) | 0,0125 | 1,7 | 1,46 | 0,005 | 0,175 | |||||
| Доломит | 0,0501 | 2,6 | 0,75 | 0,026 | 0,313 | |||||
| Габбро | 0,0250 | 3,0 | 0,71 | 0,012 | 0,229 | |||||
| Гранит | 0,0313 0,0271 | 2,6 | 0,66 | 0,016 | 0,217 | |||||
| Щебень | 0,0125 | 2,0 | 0,75 | 0,008 | 0,137 | |||||
| Известняк | 0,0200 | 2,5 | 0,71 | 0,011 | 0,188 | |||||
| Мрамор | 0,0229 | 2,7 | 0,87 | 0,010 | 0,234 | |||||
| Обсидиан | 0,0125 | 2,4 | 0,71 | 0,007 | 0,146 | |||||
| Перидотит | 0,0459 | 3,2 | 0,83 | 0,017 | 0,351 | |||||
| Пемза | 0,0025 | 1,0 | 0,66 | 0,004 | 0,037 | |||||
| Кварцит | 0,0501 | 2,7 | 0,71 | 0,026 | 0,309 | |||||
| Риолит | 0,0229 | 2,5 | 0,66 | 0,014 | 0,196 | |||||
| Гравий | 0,0250 | 2,1 | 0,83 | 0,014 | 0,209 | |||||
| Песок | 0,0058 | 1,8 | 1,00 | 0,003 | 0,100 | |||||
| Песчаник, кварц | 0,0501 0,0259 | 2,5 | 0,79 | 0,013 | 0,225 | |||||
| Серпентинит | 0,0263 0,0300 | 2,4 | 0,96 | 0,013 | 0,263 | |||||
| Глина | 0,0175 0,0125 | 2,3 | 0,71 | 0,008 | 0,142 | |||||
| Глинистый сланец | 0,0209 | 2,8 | 0,71 | 0,011 | 0,204 | |||||
| Сиенит | 0,0321 0, | 2,2 | 0,96 | 0,009 | 0,196 | |||||
| Туф (спекшийся) | 0,0117 | 1,8 | 0,83 | 0,008 | 0,133 | |||||
| Вода | 0,0054 | 1,0 | 4,22 | 0,001 | 0,154 | |||||
Таблица 1б. Коэффициенты излучения некоторых важнейших материалов для диапазона 8-14 мкм.
| Материал | Коэффициент излучения |
| Кварц (агат) | 0,712 |
| Полевой шпат | 0,870 |
| Гранит | 0,815 |
| Гранит, шероховатая (зернистая) поверхность | 0,898 |
| Обсидиан | 0,862 |
| Обсидиан, поверхность с раковистым изломом | 0,837 |
| Базальт | 0,904 |
| Базальт, шероховатая поверхность, блестящая | 0,934 |
| Дунит | 0,856 |
| Дунит, шероховатая поверхность | 0,892 |
| Кварцевый песчаник, полированная поверхность | 0,909 |
| Кварцевый песчаник, шероховатая поверхность | 0,935 |
| Доломит, полированная поверхность | 0,929 |
| Доломит, шероховатая поверхность | 0,958 |
| Доломитовый щебень (обломки 0,5 см) | 0,959 |
| Песок, грубозернистый кварцевый | 0,914 |
| Песок, грубозернистый кварцевый, влажный | 0,936 |
| Песок, тонкозернистый кварцевый | 0,928 |
| Скальный грунт, сухой | 0,966 |
| Асфальт дорожного покрытия | 0,956 |
| Вода чистая | 0,993 |
| Вода с тонкой пленкой нефти | 0,972 |
| Лед | 0,98 |
| Растительность | >0,97 |
Величина альбедо горных пород (для районов, лишенных растительности и почвенного покрова или бедных растительностью) рассчитывается по снимкам, полученным в видимом диапазоне электромагнитных волн (0,4-0,7 мкм).
Термический коэффициент, или коэффициент температурного переноса, рассчитывается по амплитудам суточного температурного профиля и по данным о величинах спектрального отражения объектов в видимом диапазоне.
Расчеты значений амплитуд суточного температурного профиля для горной породы или группы пород при корреляции результатов тепловой съемки с референц-данными (т. е. калибровки измеренных величин по тарированному излучателю, установленному в самой сканирующей системе) позволяют определить те величины радиационных температур, которые будут при съемке регистрироваться сенсорами. По данным вышеуказанных исследований температурный коэффициент горных пород в большинстве случаев может служить характеризующим признаком для распознавания определенных типов горных пород по результатам тепловых аэрокосмических съемок. Но в этих случаях необходимо в первую очередь учитывать уже неоднократно упоминавшиеся факторы, образующие помехи при измерениях: топографический эффект (при дневных съемках), метеоусловия, прозрачность атмосферы и стояние Солнца для того, чтобы получить удовлетворительные результаты интерпретации тепловых съемок. Например, искажающее влияние топографического положения поверхности объекта выразится в том, что поверхности, расположенные на северных склонах, будут иметь более низкие температуры, чем на южных (для отрицательных форм рельефа, например для ущелий в горах, эффект будет обратный). При этом освещенные в течение дня поверхности будут иметь большие амплитуды температур, чем неосвещенные поверхности северных склонов. Малые контрасты температур введут в заблуждение исследователя-интерпретатора, не имеющего дополнительных сведений о рельефе района съемок. Из этого становится очевидной важность корреляции данных видимого и теплового диапазонов, а также введение поправок на топографию местности при анализе и интерпретации тепловых сканерных съемок, особенно в горной или холмистой местности.