3,1 4,4
5,5 1,2
Равновесия в доминирующих стратегиях нет.
Равновесие по Нэшу. (5,5) и (4,4). Так как ни одному из игроков невыгодно по отдельности отклоняться от выбранной стратегии.
Оптимум по Парето. (5,5). Так как выигрыш игроков при выборе этих стратегий больше выигрышей при выборе других стратегий.
Равновесие Штакельберга:
Первый ход делает игрок А.
Выбирает свою первую стратегию. Б выбирает первую стратегию. А получает 5.
Выбирает свою вторую стратегию. Б выбирает вторую. А получает 4.
5 > 4 => равновесие по Штакельбергу (5, 5)
Первый ход делает Б.
Выбирает свою первую стратегию. А выбирает первую стратегию. Б получает 5.
Выбирает свою вторую стратегию. А выбирает вторую. Б получает 4.
5 > 4 => равновесие по Штакельбергу (5, 5)
Пример 2. Моделирование дуополии [2].
Рассмотрим существо этой модели:
пусть существует отрасль с двумя фирмами, одна из которых «фирма-лидер», другая — «фирма-последователь». Пусть цена на продукцию является линейной функцией общего объема предложения Q:
P (Q) = a − bQ.
Предположим также, что издержки фирм на единицу продукции постоянны и равны с 1 и с 2 соответственно. Тогда прибыль первой фирмы будет определяться формулой
|
|
|
Π1 = P (Q 1 + Q 2) * Q 1 − c 1 Q 1,
а прибыль второй соответственно
Π2 = P (Q 1 + Q 2) * Q 2 − c 2 Q 2.
В соответствии с моделью Штакельберга, первая фирма - фирма-лидер - на первом шаге назначает свой выпуск Q 1. После этого вторая фирма - фирма-последователь - анализируя действия фирмы-лидера определяет свой выпуск Q 2. Целью обеих фирм является максимизация своих платёжных функций.
Равновесие Нэша в этой игре определяется методом обратной индукции. Рассмотрим предпоследний этап игры - ход второй фирмы. На этом этапе фирма 2 знает объем оптимального выпуска продукции первой фирмой Q 1*. Тогда задача определения оптимального выпуска Q 2* сводится к решению задачи нахождения точки максимума платёжной функции второй фирмы. Максимизируя функцию Π2 по переменной Q 2, считая Q 1 заданным, находим, что оптимальный выпуск второй фирмы
.
Это наилучший ответ фирмы-последователя на выбор фирмой-лидером выпуска Q 1*. Фирма-лидер может максимизировать свою платёжную функцию, учитывая вид функции Q 2*. Точка максимума функции Π1 по переменной Q 1 при подстановке Q 2* будет
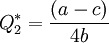
.
Подставляя это в выражение для Q 2*, получим
.
Таким образом, в равновесии фирма-лидер производит в два раза большее количество продукции, нежели фирма-последователь.
Кпроблемам управления в процессе конфликтного взаимодействия относятся:
· проблема координации возникают в ситуации наличия двух точек равновесия по Нэшу; типичные способы решения проблемы: введение дополнительных ограничений, введение “фокальных точек” (типа привычек) или соглашений;
|
|
|
· проблема совместимости типична в ситуации отсутствия равновесия по Нэшу, когда нет возможности согласовать действия игроков; типичный способ решения проблемы: репутация, авторитет;
· проблема кооперации характерна в ситуации единственной точки равновесия по Нэшу, которая Парето-неоптимальна; типичный способ решения проблемы: ограничения морали, норм поведения;
· проблема справедливости актуальна в ситуации единственного равновесия по Нэшу, но с асимметричным, несправедливым распределением выигрыша между игроками; типичный способ решения проблемы: переход к повторяющимся играм и возникновение норм на основе смешанных стратегий.






