

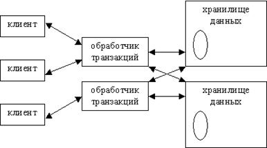
Модель распределенной БД Модель тиражирования БД
![]() | |||
![]() | |||
Обычный сервер баз данных Распределенные серверы
![]() |
Схема работы с БД в локальной сети с выделенным файловым сервером

|
Схема работы с БД в архитектуре "Клиент-сервер"
![]() |
Система типа файл-сервер Система типа клиент-сервер
Схема доступа к БД с помощью ODBC










