Полагаем известными мощность и напряжение в конце участка S 2 и U2.
S 2 – const, U2 – const. Требуется определить мощность S 1 и напряжение
в начале участка. Этот случай встречается на практике тогда, когда, например, задана нагрузка потребителя и необходимо определить напряжение
источника питания, при котором будет обеспечено требуемое напряжение
у потребителя. При этом также выясняется, каковы затраты (потери) мощности на передачу электропотребителю необходимой мощности.
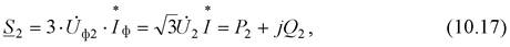
В общем случае принимаем, что заданная электрическая нагрузка в узле 2 активно-индуктивная:
|
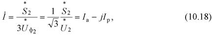
и поскольку ток
звена неизменен и равен току нагрузки, его значение вычисляют точно через заданные мощности S 2 и напряжение
в конечном узле схемы:
|
где составляющие комплексного полного тока можно выразить аналогично (10.4) через составляющие мощности S2 = P2 + jQ2 и напряжения






