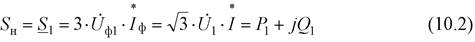
Известны мощность и напряжение в начале участка S 1 и
; требуется определить мощность и напряжение в конце участка S 2 и
. На практике этот случай имеет место тогда, когда возникает необходимость передачи заданной мощности источника (электростанции), при фиксированном напряжении на его шинах, в приемную систему или узел потребления. При этом следует определить, каковы будут затраты (потери) мощности и напряжения на приемном конце электропередачи. Полагаем, что нагрузка имеет активно-индуктивный характер (ток звена
отстает от напряжения
на угол
). Тогда комплексное значение полной мощности в начале участка будет
|
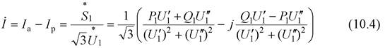
Откуда комплексное значение полного тока
|
и значения его составляющих
|
вычисляют точно через известные мощность S 1 и напряжение
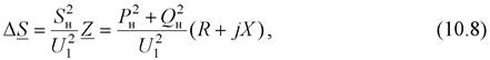
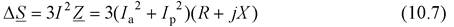
в начальном узле схемы. По этой же причине имеется возможность точно вычислить зависящие от тока потери мощности ΔS и падение напряжения Δ
а потому расчет режима участка выполняется в один этап от начала к концу звена, т. е. реализуется прямая (точная) процедура расчета.
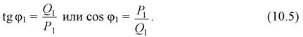
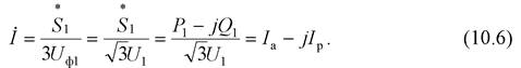
Коэффициент мощности в начале ветви

Предположим, что известно напряжение
(его замер) в начале звена. Тогда при известной мощности S 1 можно точно определить ток ветви в виде
|
При протекании тока
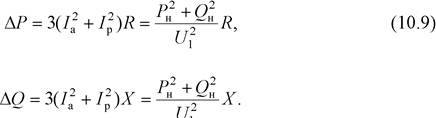
по участку с сопротивлением Z происходит потеря активной и реактивной мощности, которые в соответствии с законом Джоуля – Ленца запишем через составляющие тока:
|
или, пользуясь значениями активной и реактивной мощности, в соответствии
с (10.6) запишем
|
откуда потери активной и реактивной мощности
|
Множитель 3 исчез, поскольку выполнена подстановка модуля тока, вычисленного через линейное напряжение 
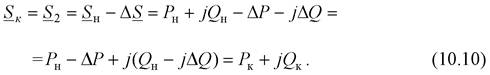
Поток мощности в конце ветви меньше на величину потерь:
|
Ток в продольном участке сети наряду с потерями мощности вызывает
падение напряжения
|
на величину которого (в соответствии с указанным направлением тока) напряжение в конце участка меньше напряжения в начале
|
где модуль и фаза напряжения приемного конца электропередачи определяются по формулам (9.24) и (9.26). Составляющие вектора падения напряжения Δ
можно найти по выражениям, использующим ток (9.33) или мощность начала участка (9.28).
Режим напряжения данного участка сети можно характеризовать с помощью векторной диаграммы (рис. 10.2), построенной в координатных осях +, j.
С учетом найденного напряжения
мощность в конце звена (10.10) можно также записать в вид
|
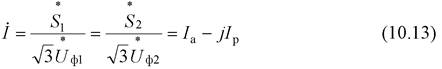
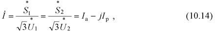
Откуда с учетом (10.3) получим очень важное выражение для тока звена
|
или в записи через линейные напряжения (с учетом отмеченного допущения)
имеем
|
т. е. ток можно вычислить по данным начала или конца звена.
Таким образом, ток участка сети можно вычислить через мощность и напряжение в начале или конце звена.
Рабочий режим участка сети можно характеризовать распределением полной мощности по участку (рис. 10.1) и соответствующей векторной диаграммой (рис.10.2), отражающей связь мощностей начала, конца участка и потерь в нем посредством балансового соотношения (10.10).
|
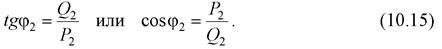
В соответствии с (10.10) из исходного вектора мощности начала участка, откладывая параллельно оси абсцисс, вычитаем вектор потерь активной мощности ΔP. С конца вектора ΔP, откладывая параллельно оси ординат, вычитаем вектор потерь реактивной мощности ΔQ. В итоге полученный вектор Δ S вычитаем из вектора S1. Соединив конец вектора Δ S с началом координат, получим вектор мощности S 2 в конце участка с составляющими P2 и Q2 (рис. 10.2). Углы наклона
1 и
2 векторов мощности S 1 и S 2 к оси вещественных величин определяют значения коэффициента мощности. В частности, в конце участка имеем
|
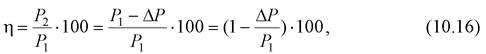
Коэффициент полезного действия участка сети в процентах
|
т. е. снижение потерь активной мощности увеличивает КПД электрической
сети.