Электрических сетей

РЕЖИМОВ ПРОСТЫХ ЗАМКНУТЫХ

План

1. Определение и схемы замкнутых электрических сетей.

2. Расчётные нагрузки и схемы электрических сетей.

3. Анализ электрического режима простейшей замкнутой электрической сети.

4. Расчёт потокораспределения.

5. Правило моментов для токов при расчёте сети с двусторонним питанием.

6. Правило моментов для мощностей при расчёте сети с двусторонним питанием.

Замкнутыми называются электрические сети, в которых электропотребители (узлы нагрузки) получают электроэнергию с двух и более сторон (источников), чем обеспечивается высокая надёжность электроснабжения.

Наиболее простую замкнутую сеть образуют, например, две параллельно включенные линии или два трансформатора, работающие на общую электрическую нагрузку (рис. 12.1, а). В общем случае сети, содержащие один замкнутый контур, называются кольцевыми (рис. 12.1, б). Разновидностью таких сетей считаются линия или сеть с двусторонним питанием (рис. 12.1, в). Сложнозамкнутыми принято называть сети, содержащие два и более замкнутых контура (рис. 12.1, г). В этих сетях каждый узел нагрузки получает электропитание по двум и более линиям.


Расчёты режимов замкнутых электрических сетей сложнее, чем разомкнутых, и в большинстве случаев их выполняют на ЭВМ с помощью программно-вычислительных комплексов.

12.1. Расчётные нагрузк и схемы электрических сетей

Анализ режимов электрических сетей, выполняемый вручную, производится применительно к схемам замещения, нагрузки узлов которых наряду с мощностями потребителей (источников) определяют с учётом потерь мощности в трансформаторах подстанций, а также мощностей проводимостей (шунтов) П-образных схем замещения примыкающих линий. Нагрузки узлов, определяемые (сформированные) таким образом, называются расчётными (эквивалентными), а соответствующие схемы замещения – расчётными.

Возможность упрощения исходной схемы замещения при использовании этого понятия проиллюстрируем на примере схемы электрической сети (рис. 12.2,а) с номинальным напряжением, не превышающим 220 кВ. В этой схеме на шины высшего напряжения электростанции 1 через повышающий трансформатор Т1 выдаётся заданная мощность S 1. С шин ВН подстанции 2 через понижающий трансформатор Т2 передаётся мощность нагрузки S 2.

Внешняя система представлена электрической станцией (подстанцией) 3, балансирующей по активной и реактивной мощности. К шинам ВН электростанций 1 и 3 и подстанции 2 подходят по 2 линии районной электрической сети.


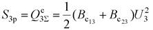
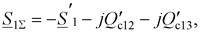
На рис. 12.2, б показана схема замещения, характеризующая условия распределения мощностей в ветвях, связанных с узловыми точками 1, 2, 3 замкнутой электрической сети. На этой схеме суммарная мощность, проходящая по сопротивлениям Z 12 и Z 13 примыкающих линий


причем мощность S1 отличается от мощности генерации S 1 на величину потерь в обмотках трансформатора Т1 (в сопротивлении Z1) и его потерь холостого хода, т.е.


Тогда суммарную нагрузку на шинах электрической станции 1, в дальнейшем называемую расчётной (эквивалентной), для узла 1 определим в виде мощности


или тока


Аналогично выразим расчетную мощность подстанций 2 и 3:


Суммарная зарядная мощность линий, примыкающих к балансирующему источнику 3,


увеличивает его возможности по генерации реактивной мощности, но не оказывает влияния на потокораспределение в замкнутой сети, а потому в расчетах не учитывается.

Замена исходной схемы замещения (рис. 12.2, б) на расчётную (рис. 12.2, в), содержащую только продольные ветви, не только существенно её упрощает, но и позволяет практически реализовать инженерные методики расчёта и анализа режимов замкнутых электрических сетей.

Отказ от учёта фактических напряжений при определении расчётных электрических нагрузок обусловливает в итоге меньшую точность расчёта электрического режима. Снижение погрешности можно достигнуть на очередной итерации расчёта, уточнив расчётные электрические нагрузки с учётом напряжений, полученных на предыдущей итерации.





Подборка статей по вашей теме: