Рассмотрим небольшую электрическую сеть с двусторонним питанием (рис. 12.4). Нагрузки узлов 1, 2, 3 заданы комплексными значениями расчетных токов. Напряжения узлов А и Б одинаковые (
).
|
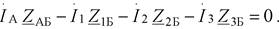
Предположим, что под воздействием нагрузок в узлах токи в ветвях приняли указанные на схеме направления. В соответствии со вторым законов Кирхгофа можно записать
|
По балансовым соотношениям первого закона Кирхгофа выразим токи в ветвях (на участках) сети через известные токи нагрузок в узлах и искомый ток на головном участке сети
:
|
Подставив токи из выражения (12.12) в (12.11):
|
и выполнив математическое преобразование, получим
|
Обозначим:
|
Тогда: 
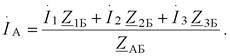
Отсюда ток головного участка А:
|
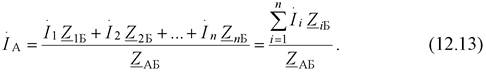
Или в общем виде для сети, содержащей n нагрузочных узлов, можно записать
|
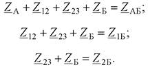
Правило моментов может быть аналогично применено и для определения тока на головном участке Б. В этом случае моменты токов находят относительно узла А:
|
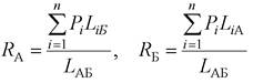
Выражения (12.13), (12.14) получили название правила моментов для токов. Действительно, для вычисления, например, тока источника А рассчитывают моменты токов по отношению к противоположному источнику Б. Эти выражения аналогичны выражению для определения реакции (ответа) RА, RБ опор бесконсольной балки:
|
при воздействии на нее сосредоточенных механических нагрузок (сил) Pi (рис. 12.5).
В формулах (12.13), (12.14) токи в узлах выступают в роли механических нагрузок, а сопротивления ветвей от точки подключения нагрузки до узла Б или (А) – в роли плеча.
|
|
Рассмотрим случай неравенства напряжений (
) источников. Под воздействием ЭДС, равной разнице напряжений
, в схеме протекает уравнительный ток (рис. 12.6)
|
с учетом которого скорректируем токи источника (головных участков):
|
|
Таким образом, результирующий ток источника образуется двумя слагаемыми: первое слагаемое обусловлено нагрузками в узлах и соотношениями сопротивлений отдельных участков сети, второе слагаемое тока определяется разностью напряжений источников, сопротивлением всей сети и не зависит от величины и места подключения нагрузок.






