В этом случае электрические нагрузки в узлах задаются расчетными мощностями. Переход от строгих выражений (12.13), (12.14) для токов к аналогичным выражениям для мощностей можно выполнить при введении допущения о равенстве напряжений во всех точках сети:
|
что равносильно неучету потерь мощности на участках сети. Действительно, при условии (12.17) выражение
|
обращается в нуль.
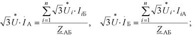
Теперь, если умножить левые и правые части выражений (12.13) и (12.14) на множитель
, то имеем
|
выражения для сопряженных мощностей
|
или, выполнив в формуле (12.18) операцию сопряжения, окончательно получим
|
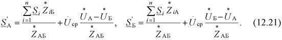
В случае неравенства напряжений (
) источников уравнительный поток мощности определяем по соотношению
|
где
– среднее напряжение источников. Тогда потоки мощностей головных участков вычисляем в виде
|
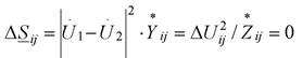
Для проверки правильности расчетов потоков головных участков рекомендуется проверить выполнение баланса мощностей в электрической сети:
|
т. е. сумма мощностей, поступающих в сеть, должна быть равна сумме мощностей нагрузок в ее узлах. Аналогично должен выполняться баланс токов в сети:
|






