Для получения больших значений КНД и резко выраженных направленных свойств применяют антенны в виде системы большого числа вибраторов, называемых решетками. Токи в вибраторах решетки могут иметь одинаковые фазы. Такие решетки называются синфазными антеннами. Применяются также переменно-фазовые системы, токи в вибраторах которых имеют различные фазы, подчиняющиеся определенным законам. Рассмотрим линейную систему из п ненаправленных излучателей, расположенных на равных расстояниях d друг от друга, возбужденных токами, равными по амплитуде. Такая система вибраторов называется эквидистантной равноамплитудной решеткой.
Диаграммы направленности синфазных решеток из ненаправленных излучателей
Рис. 1. а – линейной, б – плоской, в – плоской с рефлектором
К определению ДН решетки антенны бегущей волны

Рисунок


Рисунок Диаграмма направленности решетки антенны бегущей волны из ненаправленных излучателей и Кольцевая решетка

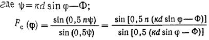
- множитель системы (решетки) излучателей.
|
|
|
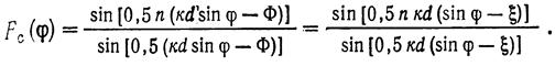
Если линейную решетку составить из направленных излучателей, например симметричных вибраторов, то поле E1, созданное каждым вибратором, определится его направленными свойствами
и результирующая характеристика направленности
В ы в о д. Щирина ДН синфазной решетки сужается с уменьшением длины волны, увеличением числа вибраторов и увеличением расстояний между ними. Если в синфазной решетке уменьшить число вибраторов и увеличить расстояния между ними так, чтобы сохранить неизменным произведение nd, т. е. линейные размеры антенны, то ширина главного лепестка останется неизменной, но возрастут уровни боковых. При
уровни боковых лепестков практически остаются неизменными, но возрастает число вибраторов и усложняется система питания. Поэтому расстояния d между центрами ненаправленных или полуволновых вибраторов обычно выбирают равными 0,5
, а одноволновых —
. Для уменьшения уровня боковых лепестков применяют эквидистантные решетки, в которых центральные вибраторы имеют большие токи, а периферийные - меньшие или равноамплитудные решетки, в которых расстояния между вибраторами по мере их удаления от центра антенны увеличиваются. Подбирая закон распределения амплитуд или размещения вибраторов, можно снижать уровни боковых лепестков до необходимых значений. При заданных линейных размерах антенны наибольшим КНД обладают равноамплитудные эквидистантные решетки. Следовательно, снижение уровня боковых лепестков достигается уменьшением КНД или увеличением размеров антенны.






