Краткое содержание лекции
САНТИМЕТРОВЫХ, ДЕЦИМЕТРОВЫХ И МЕТРОВЫХ РАДИОВОЛН
РАСПРОСТРАНЕНИЕ
Лекция 11.
Лекция 10.
Радиоволны длиной короче 10 м называют ультракороткие (УКВ). Эти волны охватывают очень широкий диапазон частот. Ширина диапазона частот только сантиметровых волн составляет 27 000 МГц, что в тысячу раз превышает ширину диапазона частот декаметровых волн. Поэтому на УКВ возможна передача намного больших потоков информации, чем на более длинных волнах. Только на УКВ возможно телевидение и высококачественное радиовещание с использованием частотной модуляции (ЧМ).
Земная волна на УКВ обеспечивает связь практически только в пределах прямой видимости. За ее пределами в естественных условиях УКВ могут устойчиво распространяться только за счет рассеяния в ионосфере и в тропосфере. Однако для обеспечения связи за счет рассеяния требуются очень мощные передатчики и сложные антенные сооружения.
Для увеличения расстояния прямой видимости антенны телецентров и станций ЧМ вещания устанавливают на высоких башнях. Для передачи радиосигналов на большие расстояния в диапазоне УКВ используют наземные радиорелейные линии и ретрансляторы, расположенные на искусственных спутниках Земли.
|
|
|
Определим, чему равно предельное расстояние прямой видимости г0 между антеннами, поднятыми над Землей на высоты h1 и h2 (рис. 3.1).
Рис. 3.1. К определению расстояния прямой видимости
Предельное расстояние прямой видимости получается тогда, когда луч, соединяющий антенны, касается земной поверхности. Из прямоугольного треугольника АОС найдем расстояние
. Если высота расположения антенны h1много меньше радиуса Земли Rз равного 6370 км, последнюю формулу можно упростить:
, так как
. Из треугольника ОСВ аналогично получаем
. Предельное расстояние прямой видимости

Подставляя в (3.1) численное значение R 3 и выражая г0 в километрах, а высоты h1и h2 в метрах, получаем

Методы расчета напряженности поля при связи в пределах прямой видимости:
1. Если расстояние между передающей и приемной антеннами r<<rо (в 3 раза и более), то можно пренебречь сферичностью Земли и пользоваться формулой:

2. При больших расстояниях г, когда выполняется условие

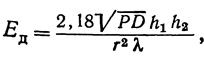
- Формула Б. А. Введенского
Р в киловаттах, r —в километрах, h1, h2 и
— в метрах, Ед, мВ/м, — действующее (эффективное) значение напряженности поля.
Для расчета разности хода
при учете сферичности Земли вводят понятие о приведенных высотах антенн.

Рис. 3.2. К определению приведенных Рис 3.3. К определению высот подвеса антенн величины просвета на трассе
При распространении УКВ над сильно пересеченной местностью (рис. 3.3) практически невозможно рассчитать напряженность поля в точке приема как сумму прямой и отраженных волн. Кроме того, неровности рельефа, имеющие острые вершины, могут не создавать отражений, если вершина не покрывает область, достаточную для отражения (см. § 2.1). При расчете поля в случае распространения над пересеченной местностью вводят понятие просвета Н.
|
|
|
Просвет определяется расстоянием между самой высокой точкой профиля трассы (рис. 3.3) и линией, соединяющей центры передающей и приемной антенн. От просвета зависит число зон Френеля на фронте волны, участвующих в создании поля у приемной антенны (см. § 2.1), а при наличии отражений от Н зависит сдвиг фаз между прямой и отраженной волнами. Эталонным просветом называют просвет Н0, при котором разность длин АВ и АОВ (рис. 3.3) составляет
. В этом случае при наличии отраженной волны, распространяющейся по пути АОВ, ее сдвиг фаз относительно прямой волны
составляет 60° и при R = 1 и Ф=180° в формуле
(2.8) множитель F=1. Эталонный просвет определяют по формуле:
(3.6)
Величины r, r1 и r2 указаны на рис. 3.3. Если просвет на трассе меньше нуля, трассу называют закрытой. На закрытой трассе поле в точке приема создается за счет дифракции. Если выполняется условие 0<Н<Н0, трасса называется полуоткрытой или полузакрытой, при Н>Н0 трасса открытая. Методика построения профиля трассы приведена в [2]. Там же дана методика определения множителя Fдля различных трасс. На рис. 3.4 изображена типичная зависимость множителя Fот величины просвета.

Рис. 3.4. Зависимость множителя ослабления Рис. 3.5. К пояснению эффекта усиления за от величины просвета счет от величины просвета препятствия
На длинных закрытых трассах иногда наблюдается усиление поля в точке приема за счет препятствия на трассе (рис. 3.5). Наличие препятствия приводит к тому, что его вершина становится переизлучателем электромагнитного поля, возбужденного на вершине волнами, распространяющимися на открытом участке АО. На участке ВС переизлученная волна также распространяется по открытой трассе. При некоторых значениях просветов Н1и Н2 поле в точке приема больше, чем получилось бы за счет поверхностной волны, распространяющейся по пути АС при отсутствии препятствия. Усиление поля препятствием используют при организации УКВ радиолиний в гористой местности.
В городах распространение УКВ сопровождается многочисленными отражениями от зданий, линий электропередач и других ее сооружений. Если передающая и приемная антенны расположены выше уровня крыш, ориентировочный расчет напряженности поля можно проводить по формулам (2.12) или (3.4), отсчитывая высоты подвеса антенн от среднего уровня крыш. Напряженность поля в городе при закрытых трассах и внутри зданий приходится определять экспериментально.
Радиус кривизны положителен при g<0 (рис. 3.6,а). При этом фазовая скорость волны с высотой возрастает, верхняя граница фронта распространяется быстрее нижней, и луч искривляется в сторону поверхности Земли. Такая рефракция называется положительной. При g>0 наблюдается отрицательная рефракция (рис. 3.6,б). Тропосферная рефракция изменяет расстояние прямой видимости. При связи в пределах прямой видимости тропосферная рефракция влияет на напряженность поля в точке приема за счет того, что искривление траекторий прямого и отраженного лучей изменяет сдвиг фаз между их полями. Искривление траектории изменяет также просвет Н (рис. 3.7).
В результате положительной рефракции закрытая трасса может стать открытой, при отрицательной рефракции открытая трасса может превратиться в закрытую.

Рис.3.6. Траектории лучей в Рис.3.7.Увеличение Рис. 3.8. К определению
тропосфере: а - при положительной; просвета эквивалентного
|
|
|
б — при отрицательной при положительной радиуса Земли
рефракциях рефракции
Поскольку степень рефракции непостоянна и зависит от метеорологических условий, напряженность поля на УКВ в точке приема — изменяется с течением времени. Эти изменения называются замираниями.






