Краткое содержание лекции
Электромагнитные поля и волны
Лекция 8.
Контрольные вопросы
1. Поясните требования, предъявляемые к антеннам РРЛ.
2. Как влияют фазовые искажения на ДН антенны?
3. Как влияет распределение фаз и поля в раскрыве на ДН антенны?
4. Каковы недостатки и преимущества рупорных антенн?
5. С какой целью применяют рупоры с ребрами внутри?
6. От чего зависит ширина ДН в плоскости Е?
7. От чего зависит ширина ДН в плоскости Н?
8. Как получить ДН с одинаковой шириной в поскости Н и Е?
9. Какой рупор называется секториальным, пирамидальным, коническим?
10. От чего зависят диапазонные свойства рупорных антенн?
1. Какую из диаграмм направленности имеет параболическая антенна?
2. Почему на РРЛС наиболее часто применяют параболические антенны (ПА)?
3. Какой из параболоидов является длиннофокусным?
4. Почему иногда параболоид выполняют сетчатой конструкции?
5. Какой из параболоидов является короткофокусным?
6. Какой из параболоидов является осенесимметричным?
В электромагнитном поле электрическая и магнитная составляющие неразрывно связаны друг с другом. Эта связь между электрическим и магнитным полями была обнаружена в начале XIX века Эрстедом и Фарадеем. Опыты показали, что вблизи движущихся зарядов (вблизи проводника с током) обнаруживается магнитное поле, а, в свою очередь, всякое изменение магнитного поля вызывает появление электрического поля. До работ Максвелла (1864 г.) предполагали, что магнитное поле появляется только вблизи движущихся зарядов. Максвелл теоретически показал, что магнитное поле появляется при любом изменении электрическогополя, в частности и тогда, когда изменение не связано с движением зарядов. Согласно теории Максвелла изменение электрического поля следует рассматривать как особую форму тока — ток смещения. Ток смещения протекает в пространстве, где изменяется электрическое поле. Так, при заряде или разряде конденсатора в пространстве между его обкладками протекает ток смещения. При этом не обязательно наличие вещества между обкладками. В мощных радиопередатчиках применяют вакуумные конденсаторы, ток смещения протекает и в вакууме.
|
|
|
Используя понятие тока смещения и обобщив известные экспериментально установленные законы электромагнетизма, Максвелл создал теорию электромагнитного поля. Согласно этой теории электромагнитное поле распространяется в виде волн. Свет, как показал Максвелл, также является электромагнитной волной. Теория электромагнитного поля была подтверждена опытами Г. Герца и П. Н. Лебедева. Радио, изобретенное А. С. Поповым, также является одним из подтверждений справедливости теории электромагнитного поля.
|
|
|
Распространяясь в различных средах, радиоволны в общем случае вызывают в этих средах токи смещения и токи проводимости. От значений плотности этих токов зависят особенности распространения радиоволн. Из теории электрических цепей плотность тока проводимости

где
— удельная проводимость. Найдем выражение для плотности тока смещения. Рассмотрим ток смешения между обкладками плоского конденсатора (рис. 1.3).
Рис. 1.3. Возникновение тока смещения между обкладками конденсатора при его заряде
Емкость конденсатора
, где
— диэлектрическая проницаемость среды между обкладками; S — площадь пластин; l - расстояние между ними.
В однородном поле напряжение между обкладками конденсатора Uc = Е l. Ток, протекающий через конденсатор,

Величина
Е называется вектором электрического смещения D. Используя вектор D, формулу можно записать в виде

Любой колеблющийся электрический заряд является источником переменного электромагнитного поля, излучающего в окружающее пространство. Излучение зарядом электромагнитной волны можно пояснить следующим образом. Рассмотрим два проводящих шара, находящиеся на расстоянии L, друг от друга (рис. 1.4). Такая система называется электрическим диполем. После включения генератора шары будут заряжаться и разряжаться. При этом по проводу Lпротекает ток заряда и разряда емкости, образованной шарами. Емкость шаров много больше емкости отрезков аb и cd провода L, поэтому током смещения между отрезками провода можно пренебречь. Можно считать, что ток проводимости, протекающий в проводе L, замыкается через ток смещения, протекающий в пространстве между шарами. В этом случае амплитуда тока вдоль провода Lостается постоянной. Такой электрический диполь называют диполем Герца.

Рисунок 1.4 - Возникновение электромагнитной волны, излучаемой диполем Герца
На рис. 1.4 графически изображено распределение амплитуды тока вдоль провода диполя. На этом же рисунке показаны силовые линии электрического поля диполя для момента времени, когда шары заряжены. Линии тока смещения расположены в пространстве так же, как и линии электрического поля. При работе генератора переменный ток смещения вызывает появление переменного магнитного поля, силовые линии которого окружают линии тока смещения. В свою очередь, переменное магнитное поле по закону электромагнитной индукции вызывает в окружающем пространстве появление переменного электрического поля и ответствующего тока смещения и т. д. Рассмотренный процесс распространяется в окружающей среде самоподдерживаясь. Если, например, выключить генератор, питающий диполь, то в окружающей среде продолжает распространяться возникшая электромагнитная волна — ток смещения будет вызывать переменное магнитное поле, которое, в свою очередь, будет создавать переменное электрическое поле и ток смещения в соседних областях пространства. Если генератор, возбуждающий диполь, генерирует напряжение, изменяющееся по гармоническому закону, тоэлектромагнитное поле изменяется во времени по гармоническому закону с той же частотой. Как известно, определенное состояние колебания, например максимум, называют фазой. Скорость распространения фазы электромагнитной волны называют фазовой скоростью. Фазовая скорость электромагнитной волны в диэлектрике

В свободном пространстве 
, и
. Эта ф-ла была теоретически получена Максвеллом. Равенство фазовой скорости света навело Максвелла на мысль о том, что свет является электромагнитной волной.
Расстояние, которое проходит определенная фаза волны за время одного периода колебаний Т, называется длиной волны:

Поверхность, на которой фаза волны одинакова, называется фронтом волны. На больших расстояниях rот диполя при выполнении условия r>>
фаза волны одинакова на поверхности сферы. Такая волна называется сферической.
|
|
|
Электромагнитная волна, излучаемая источником, уносит в окружающее пространство энергию. Мощность, переносимая волной, характеризуется вектором Пойнтинга. Направление вектора Пойнтинга показывает направление перемещения энергии. Модуль этого вектора равен мощности, переносимой волной через единичную площадку, перпендикулярную вектору. Математический анализ показывает, что вектор Пойнтинга

Определим зависимость модуля вектора Пойнтинга от расстояния rдо излучателя. Предположим, что излучатель излучает мощность во всех направлениях с одинаковой интенсивностью. Такой излучатель называется ненаправленным. В этом случае излучаемая мощность
равномерно распределяется по сфере, площадь которой равна
. Отсюда следует, что модуль вектора Пойнтинга

В действительности все излучатели радиоволн обладают направленностью действия, т. е. в одних направлениях излучают больше, чем в других. При этом мощность излучения неравномерно распределяется по сфере, окружающей излучатель, но квадратичная зависимость вектора Пойнтинга от расстояния сохраняется.
Диполь Герца обычно в качестве антенны не применяют. Однако, любую проволочную антенну можно представить состоящей из элементарных отрезков провода, в пределах каждого из которых амплитуда тока может считаться неизменной. Такой отрезок называют элементарным электрическим вибратором. Диполь Герца также можно рассматривать как элементарный электрический вибратор. Определим поле, излучаемое элементарным электрическим вибратором. Расположим вибратор в начале сферической системы координат (рис. 1.5).
Рис. 1.5. К определению составляющих электромагнитного поля элементарного вибратора
Пусть вибратор возбуждается генератором гармонических колебаний и в нем протекает ток

Математический анализ показывает, что в точке пространства, для которой выполняются условия r>> L и r>>
, поле диполя определяется формулами:
|
|
|

Множитель
указывает на то, что поле распространяется в виде волны. Фаза напряженности поля зависит от расстояния до излучателя r. Величина k называется волновым числом и показывает, насколько изменяется фаза волны при прохождении ею пути в единицу длины и означает, что при прохождении волной пути
фаза изменяется на 2
, а на единице пути она изменяется на 
. Величина W называется волновым сопротивлением среды. В свободном пространстве
,
и
. Индексы
и
показывают положение векторов Е и Н в пространстве (рис. 1.5). Векторы Е и Н радиоволны взаимно перпендикулярны и лежат в плоскости, перпендикулярной направлению распространения радиоволны. Напряженность поля убывают пропорционально первой степени расстояния г до излучателя. Модуль вектора Пойнтинга
при этом убывает пропорционально квадрату расстояния. Таким образом, вибратор излучает сферическую волну.
Необходимо обратить внимание на то, что излучаемое поле тем больше, чем больше отношение длины вибратора к длине волны. Эту зависимость можно пояснить, рассматривая поле колеблющегося в диполе заряда. При колебаниях заряда изменение его поля распространяется в окружающем пространстве не мгновенно, а со скоростью света. В результате силовые линии электрического поля деформируются при колебаниях заряда так, как показано на рис. 1.6,б.

Рис. 1.6. Электрическое поле неподвижного заряда (а) и деформация электрического поля, возникающая при колебаниях заряда (б)
Чем больше размах колебаний и чем больше частота колебаний заряда то, тем сильнее деформируется поле, тем больше переменное поле излучения. Элементарный излучатель обладает направленностью излучения, так как амплитуда излучаемого поля зависит от угла
. Наибольшее излучение происходит в направлении, перпендикулярном оси диполя (
= 90°). Это направление называется главным. В направлении своей оси (
= 0) диполь не излучает. Направленность излучения вибратора также можно пояснить рис. 1.6,б. Как видно из рисунка, в направлении оси вибратора его поле не деформируется, наибольшая деформация поля происходит при
=90°. Зависимость напряженности поля излучателя от направления на точку измерения при неизменном расстоянии до этой точки называется характеристикой направленности излучателя. Графически эту характеристику изображают в виде диаграммы направленности.
Определим среднюю мощность, излучаемую диполем при питании его гармоническим током. Среднее во времени значение вектора Поинтинга
,
где Ет и Нт — амплитудные значения напряженностей полей в данной точке пространства. Эта ф-ла аналогична формуле для определения средней мощности в электрической цепи при заданных амплитудах напряжения и тока. Если бы диполь не обладал направленностью излучения, то мощность излучения определялась бы выражением

Математический анализ показывает, что учет направленности излучения приводит к формуле

где Ето и Нто — амплитуды напряженностей электромагнитного поля в направлении максимального излучения (
= 90°).

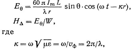
Подставив (1.17) в (1.16) с учетом формулы (1.11) после подстановки численного значения
и заменив
на k, получим

Выразим напряженность поля элементарного вибратора через излучаемую мощность
. Из (1.18)

Подставив (1.19) в (1.10), получим

В направлении наибольшего излучения (при
= 90°)

Для сравнения определим напряженность поля, создаваемую ненаправленным излучателем. Из (1.15) с учетом того, что в свободном пространстве
, получим

Сравнивая полученные соотношения, видим, что при одинаковых условиях элементарный вибратор в главном направлении создает напряженность поля, в
раза большую, чем ненаправленный излучатель. Чтобы с помощью ненаправленного излучателя получить ту же напряженность поля, которую дает элементарный вибратор в главном направлении, необходимо увеличить излучаемую ненаправленной антенной мощность в 1,5 раза. Число, показывающее, во сколько раз необходимо увеличить мощность излучения при замене направленной антенны на ненаправленную, чтобы при этом сохранилась прежняя напряженность поля в главном направлении, называется коэффициентом направленного действия антенны (КНД). У элементарного вибратора КНД равен 1,5, тогда

Эту формулу можно использовать при любых типах антенн, если известен их КНД.
Элементарный вибратор, как и любую другую антенну, можно использовать не только для излучения, но и для приема радиоволн. Если вибратор поместить в поле радиоволны (рис. 1.7), то в нем будет наводиться электродвижущая сила (ЭДС), на его зажимах появится напряжение, которое можно подвести ко входу радиоприемника.
Рис. 1.7. К определению ЭДС, наводимой в приемной антенне
Величина ЭДС Э, наведенной в вибраторе, зависит от длины вибратора L, напряженности электрического поля волны Е и угла
между вектором Е и вибратором:

Приемный вибратор обладает теми же направленными свойствами, что и излучающий. Наибольшая ЭДС наводится в вибраторе, расположенном параллельно вектору Е принимаемой радиоволны (
= 0). Если вибратор расположен вдоль вектора Пойнтинга падающей на него волны, то ЭДС в вибраторе не наводится. При этом напряженность электрического поля перпендикулярна проводу вибратора и заряды в нем под влиянием радиоволны не смещаются.






