Инвариантность заряда.
Заряд тела не зависит от скорости движения тела. Действительно, в атоме, состоящем из положительно заряженного ядра и электронной оболочки, скорость движения электронов существенно выше. Несмотря на это электрический заряд атома равен нулю (в пределах вышеописанного эксперимента). Исходя из этого, мы можем утверждать, что заряд тела – величина инвариантная, неизменная в любых системах отсчета:
. (2.4)
Это утверждение мы можем отнести именно к отдельным зарядам, а не ограничиваться более узким утверждением об инвариантности отношения зарядов тел.
Этот закон гласит, что заряд замкнутой системы сохраняется. Он нам кажется достаточно очевидным, поскольку в замкнутой системе из вакуумных состояний не может появиться только частица либо положительно, либо отрицательно заряженная. Если в замкнутую систему попадают электрически нейтральные частицы с большой энергией, например,
- квант,
- мезон (или они рождается внутри замкнутой системы), то заряженные частицы обязательно рождаются парами:
|
|
|
,
.
Для
- мезона приведена очень маловероятная, но наблюдаемая схема распада.
Исчезают заряженные частицы и античастицы при аннигиляции тоже только парами. Например, античастицы электрон и позитрон исчезают (аннигилируют) с испусканием незаряженных частиц - фотонов:
.
Этот процесс также не меняет заряда замкнутой системы.
Кроме этого в замкнутой системе могут появляться положительно и отрицательно заряженные ионы (или электроны) при распадах нейтральных молекул или исчезать при их встрече и образовании нейтральной молекулы. Эти процессы также не меняют полного заряда замкнутой системы.
Итак, общий заряд замкнутой системы сохраняется, положительный и отрицательный заряды замкнутой системы могут меняться только на одну и туже величину.
§ 3 Электрическое поле
Мы наблюдаем в окружающем нас мире взаимодействие между заряженными телами. Естественно возникает вопрос, как взаимодействуют тела на расстоянии? В 18 и начале 19 века на этом вопросе внимание не акцентировали, была принята концепция дальнодействия. Действие на расстоянии считалось естественным свойством природы. Определяющий вклад в развитие наших представлений о взаимодействии на расстоянии в 19 веке внес Майкл Фарадей. Основная его идея заключается в том, что взаимодействие на расстоянии не может осуществляться без материального переносчика этого взаимодействия. По Фарадею ими были упругие напряжения и волны в гипотетической среде – эфире. Развитие этих представлений Максвеллом привело к открытию электромагнитных волн и позволило отказаться от механических аналогий. В классической электродинамике электромагнитное поле является таким же материальным объектом, как и частицы вещества.
|
|
|
Попробуем в рамках представлений о материальном переносчике взаимодействия для неподвижных точечных зарядов определить понятие постоянного электрического поля.
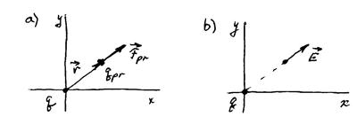
Если у нас есть два точечных заряда, то на каждый из них действует кулоновская сила направленная по прямой, соединяющей заряды. Поместим заряд
в начало системы координат, а второй заряд, назовем его пробным
, в точку, определяемую радиус-вектором
(рис.3.1a). Заряды
и
возьмем для определенности положительными, тогда сила, действующая на пробный заряд, будет направлена также как и радиус-вектор
Рис.3.1

точки, где находится пробный заряд:
.
Определим величину, характеризующую поле, созданное зарядом
(она может зависеть только от заряда
и радиус-вектора точки в пространстве) в виде отношения:
.
Эта величина называется напряженностью электрического поля неподвижного точечного заряда (рис.3.1b):
. (3.1)
Для электрических полей, созданных несколькими зарядами, справедлив принцип суперпозиции, который основывается на экспериментальных данных. Суть его в том, что электрическое поле, созданное системой из
зарядов равно векторной сумме (если речь идет о напряженности) полей, созданных каждым зарядом в отдельности:
. (3.2)
При этом поле, созданное каждым зарядом не зависит от того, есть ли вблизи него другие заряды или их нет. Это связано с тем, что между частицами, переносящими электромагнитное взаимодействие – фотонами, в свою очередь, нет взаимодействия.
Для поля
, как и для всякого векторного поля, можем определить его поток через элементарную площадку:
,
поток через конечную площадку
:
,
поток через замкнутую поверхность
:
.
В последнем случае для точечного заряда поток через замкнутую сферическую поверхность (с зарядом в центре) будет равен:
.
Результат не изменится, если замкнутая поверхность будет произвольной формы, поскольку поток через элементарную площадку
на сферической поверхности радиуса
будет равен потоку через произвольную площадку
(рис.3.2а),
Рис.3.2

которая опирается на тот же телесный угол
:

.
Действительно, если мы
умножим на
, то получим площадку на сферической поверхности радиуса
(рис3.2b), опирающуюся на тот же телесный угол
.
В силу принципа суперпозиции электрических полей, в случае
зарядов, ограниченных замкнутой поверхностью, поток вектора
через нее будет равен:
.
Если заряд в объеме
, ограниченном некоторой замкнутой поверхностью, распределен с объемной плотностью
, то поток вектора
через эту поверхность будет равен:
. (3.3)
Используя теорему Гаусса (Механика 22.6) для векторного поля
, получим:
.
Поскольку в объемных интегралах интегрирование проводится по одному и тому же объему, подынтегральные функции должны быть равны. Итак, мы получили уравнение, локально (в точке, задаваемой радиус-вектором
) описывающее электрическое поле:
. (3.4)
Это уравнение повторяет уже постулированный нами экспериментальный факт – источником электрического поля являются электрические заряды.
Используя полученные результаты, определим электрическое поле для некоторых симметричных распределений зарядов.
1. Электрическое поле безграничной равномерно заряженной с линейной плотностью заряда
прямолинейной нити (рис.3.3а). Для использования (3.3), определим поток вектора напряженности через боковую поверхность цилиндра с радиусом основания
высотой
. Из симметрии тела видно, что электрическое поле перпендикулярно нити, поэтому поток через основания равен нулю.
Рис.3.3

В каждой точке цилиндрической поверхности вектор
совпадает по направлению с вектором
, причем модуль его постоянен. Заряд, ограниченный выбранной нами поверхностью равен
. Уравнение (3.3) в этом случае дает
|
|
|
.
Напряженность электрического поля на удалении
от нити оказывается равной:
. (3.5)
2. Электрическое поле безграничной равномерно заряженной с поверхностной плотностью заряда
плоскости (рис.3.3b). Из симметрии задачи видно, что электрическое поле будет однородным. В качестве замкнутой поверхности выбираем цилиндрическую поверхность с основанием
, она ограничивает заряд
. Используя уравнение (3.3),получим:
,
а для напряженности электрического поля в любой точке у равномерно заряженной плоскости будем иметь следующее значение:
. (3.6)
3. Электрическое поле равномерно заряженного с объемной плотностью
шара радиуса
(рис.3.3с). Электрическое поле в этом случае сферически симметрично как внутри шара, так и вне шара. В качестве замкнутой поверхности выбираем сферическую поверхность радиуса
. Поток вектора
через нее внутри шара будет равен:
.
Откуда напряженность поля внутри шара
будет равна:
. (3.7)
Векторная форма приведена для системы координат с началом в центре шара. Вне шара
электрическое поле будет совпадать с полем точечного заряда
, помещенного в центр шара:
. (3.8)
В заключение отметим, что если в электрическом поле напряженности
окажется заряд
, то на него будет действовать электрическая сила равная:
. (3.9)
Итак, мы определили векторное поле
, которое можем считать силовой характеристикой электрического поля. Эта характеристика не единственно возможная. Далее характеризуем электрическое поле, создаваемое неподвижными зарядами исходя из энергетических представлений.






