Проблема измерения монопольной власти достаточно сложна она не получила окончательного решения в экономической науке и хозяйственной практике. Однако некоторые методики су шествуют, и наиболее известными среди них являются индекс Лернера и индекс Херфиндаля—Хиршмана.

Индекс Лерпера — показатель монопольной власти, определяемый по формуле
где IL — индекс монопольной власти по Лернеру;
Рм — монопольная цена;
МС — предельные издержки;
Ei — эластичность спроса по цене.
Если фирма максимизирует прибыль в условиях равновесия; когда MR = МС, то индекс Лернера представляет собой величину, обратную абсолютному значению ценовой эластичности спроса, что и показано в формуле.
При совершенной конкуренции цена равна предельным издержкам и индекс Лернера равняется нулю, что говорит о том, что рыночная власть фирмы равна нулю.
В условиях монополии, когда цена превосходит предельные издержки, индекс приобретает положительное значение, от нуля
единицы. Считается, что, чем ближе индекс к единице, тем большей монопольной властью обладает фирма. Для чистой монополии значение индекса Лернера равно единице.
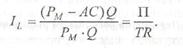
Подсчитать индекс Лернера по приведенной формуле непросто в связи с трудностью расчета предельных издержек. Поэтому часто вместо предельных издержек используют средние издержки:

Если числитель и знаменатель умножить на Q, то в числителе будет прибыль, в знаменателе — совокупный доход:

Согласно Лернеру, высокая прибыль — признак монопольной власти фирмы. Индекс характеризует факт, а не возможность монопольного поведения фирмы.
Индекс Херфиндаля—Хиршмана — показатель концентрации отраслевого рынка или распределения "рыночной власти" между всеми участниками рынка.
Для расчета индекса индивидуальные доли рынка каждой
фирмы в виде дробей должны быть возведены в квадрат. Индекс Херфиндаля—Хиршмана 1НН получается сложением всех этих квадратов, т. е.

где S1 — удельный вес самой крупной фирмы;
S2 — удельный вес следующей по величине фирмы;
Sn — удельный вес наименьшей фирмы.
Значение IHH будет равно 10000, если в отрасли действует только одна фирма, поскольку S1, = 100%.
Если в отрасли 100 одинаковых фирм, то Si = 1%, а IHH = 100.
Лекция10. ПРЕДПРИНИМАТЕЛЬСТВО






