Рис 2.3. Семейство кривых одинаковой громкости, отстоящих друг от друга на 10 Дб
при частоте 1000 Гц:
нижняя кривая — порог слышимости; верхняя кривая — порог болевого ощущения
частоты, равногромкие которым звуки с частотой 1000 Гц отличаются по интенсивности на 10 дБ. Предел слышимости принимается за нулевой уровень.
Скорость звука в средах. В газе и жидкости звуковые волны являются продольными, потому что эти среды обладают только объемной упругостью. Скорость звука в этих средах не зависит от частоты в слышимом и инфразвуковом диапазонах. В многоатомных газах и жидкостях со сложным строением молекул зависимость скорости звука от частоты (дисперсия звука) наблюдается в области достаточно высоких ультразвуковых частот.
Твердые тела помимо объемной упругости обладают упругостью формы, поэтому в твердых телах распространяются как продольные, так и поперечные волны. Волновые фронты распространения в твердых телах зависят от свойств вещества, формы тела, направления.
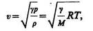
В случае малых амплитуд колебаний скорость звука в газах определяется уравнением Лапласа:
(2.20)
где р — давление невозмущенного газа; у — отношение теплоем-костей при постоянных давлении и объеме; М — молекулярная масса; Л — универсальная газовая постоянная; Т —температура; р — плотность среды.
Для жидких сред звуковая скорость имеет вид:
|
где К — адиабатический модуль объемного сжатия; bад— адиабатическая сжимаемость; bиз= gbад - изотермическая сжимаемость.
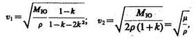
В неограничной твердой среде скорости продольных vj и поперечных v2 колебаний имеют значения [12]:
|
где Мю — модуль Юнга; к — коэффициент Пуассона; m— модуль сдвига (см. приложение VI). Модуль Юнга часто называют модулем растяжения. Для стержня, длина которого намного больше его диаметра, звуковая скорость продольных волн равна у/Мю/р •
Упругая волна представляет собой две независимо распространяющиеся волны. В продольной волне смещение в среде совпадает с направлением распространения колебаний со скоростью vt. В поперечной волне смещение перпендикулярно к направлению распространения звука. Скорость распространения продольных волн всегда больше скорости поперечных волн

Поскольку коэффициент Пуассона меняется в диапазоне 0< k <0,5, то соотношение (2.23) можно усилить:
(2.24)
Связь коэффициентов теории упругости (модулей сжатия, растяжения, сдвига и т. д.) между собой выражаются соотношениями, представленными в приложении VI.
Скорость звука в газах при О °С и давлении, равном одной атмосфере, и жидкостях представлена в табл. 2.1.
Таблица 2.1. Скорость звука в газах и жидкостях
| Газ | Скорость звука, м/с | Жидкость | Скорость звука, м/с |
| Азот | Вода | ||
| Кислород | Спирт этиловый | ||
| Гелий | Бензол | ||
| Водород | Тетрахлорид | ||
| углерода | |||
| Воздух | Глицерин | ||
| Аммиак | Ртуть | ||
| Метан |
Продольные vj и поперечные v2 скорости в некоторых твердых телах и стержне v\ представлены в табл. 2.2.
Таблица 2.2. Продольные и поперечиые скорости в некоторых
твердых и неограниченных телах н стержне
| Материал | Скорость, м/с | ||
| продольная, V] | поперечная, %>i | стержня v't | |
| Золото | 3200 — 3240 | ||
| Серебро | 3650 — 3700 | 1600 — 1690 | 2610 — 2800 |
| Никель | 4785 — 4973 | ||
| Железо | 5835 — 5950 | — | |
| Свинец | 1960 — 2400 | 700 — 790 | 1200 — 1320 |
| Кварц плавленный | |||
| Бетон | 4200 — 5300 | — | — |
| Плексит лаз | 2670 — 2680 | 1100 — 1120 | 1840 — 2140 |
| Стекло, флинт | 3760 — 4800 | 2380 — 2560 | 3490 — 4550 |
Ударная волна [13 — 15] представляет собой скачок уплотнения вещества, распространяющегося со сверхзвуковой скоростью и является тонкой переходной областью в среде, где происходит резкое увеличение плотности, давления, скорости вещества.
Ударные волны возникают при взрывах, мощных электрических разрядах, сверхзвуковом движении тел и т.д. Распространение ударной волны, вызванной взрывом или другим процессом, сопровождается звуковыми колебаниями большой амплитуды.
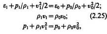
Поверхность, которая отделяет сжатый воздух от невозмущенного, называется фронтом ударной волны. На рис. 2.4 представлены распределения температуры Т и плотности р в ударной волне, фронт которой распространяется со скоростью uв. Толщина фронта ударной волны соответствует длине свободного пробега молекул. На практике этой величиной пренебрегают и с достаточной точностью заменяют фронт ударной волны поверхностью разрыва. При этом считают, что при прохождении газа через поверхность разрыва параметры газа меняются скачком (понятие «скачка уплотнения»). В соответствии с законами сохранения энергии, импульса, массы напишем:

Рис 2.4. Распределение Т, р в ударной волне

где ео,»о, Ро, Ро — соответственно удельная внутренняя энергия, скорость, плотность, давление газа перед фронтом ударной волны; е,, vj, ph pi —те же параметры за фронтом ударной волны (в системе координат, движущейся вместе с ударной волной).
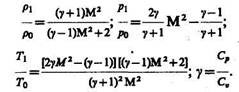
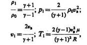
Скорость v0, при которой газ втекает в поверхность разрыва, численно совпадает со скоростью v. распространения ударной волны в невозмущенной среде. Свойства ударной волны определяются
уравнениями, выраженными через число Маха (М=—, где v — ско-
V
|
| В случае сильных ударных волн (М-юо) выражения (2.26) принимают вид: |
|
рость звука в невозмущенной среде при обычных условиях), которое показывает во сколько раз скорость распространения ударной волны превосходит скорость звука в газе:
где Л — газовая постоянная; ц — молекулярная масса.
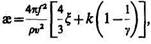
Уравнения (2.27) показывают, что есть предел сжатия газа даже при очень сильных ударных волнах, и этот предел ограничивается отношением (у + 1)/(у— 1). Для одноатомного газа при у=5/3 предел сжатия составляет 4, а для двухатомного газа, каким является воздух, у = 7/5 и предел сжатия составляет 6.
В реальных газах при достаточно высоких температурах происходят диссоциация молекул, возбуждение колебательно-вращательных энергетических уровней молекул, ионизация, различные химические реакции и т. д. Эти процессы сопровождаются изменением числа частиц в газе, затратами энергии ударной волны. В этом случае внутренняя энергия зависит от параметров газа, давления и плотности вещества в ударной волне и часто аналитически очень трудно поддается расчету. При этом пользуются приближенными методами с использованием уравнений (2.25), (2.26).
Одним из распространенных источников создания ударной волны является взрыв, который представляет собой процесс быстрого выделения энергии в определенном объеме с последующим разрушением окружающей среды. При выделении, например, сравнительно небольшого количества теплоты, примерно 4 103 кДж/кг, в продуктах взрыва достигаются температуры, равные 4 10 К, за счет очень короткого времени химического превращения (примерно 10 ~5 с). Поэтому мощность при взрывах достигает больших значений.
Давление и скорость распространения взрывной волны при этом достигают соответственно значений 1010 Па и 2 — 5 км/с.
Взрыв и ударная волна сопровождаются интенсивными звуковыми колебаниями, механическим движением тел, электромагнитными излучениями и другими видами энергий.
Зона действия ударной волны является зоной повышенного риска и часто приводит к контузиям, необратимым нарушениям слухового аппарата, увечьям, ожогам.
Распространение звуковых волн. При распространении звуковых колебаний в сплошной среде возникает звуковое поле, которое можно рассматривать как совокупность пространственно-временных распределений звукового давления р, колебательной скорости v частиц, относительного сжатия др/р (р — плотность), адиабатического изменения температуры ST и т. п.
При отсутствии скачков р, v дисперсии звука и в случае непрерывности среды выражение для звукового давления можно описать в общем виде волновым уравнением:
(2.28)
При распространении звуковых волн любых частот наблюдаются явления дифракции и интерференции, имеющих место при распространении всех типов волн.
Когда размер неоднородностей и препятствий в среде распространения значительно превосходит длину волны звука, наблюдаются явления преломления и отражения звуковой волны.
По мере распространения звуковая волна затухает. Как любой волновой процесс в неограниченной среде энергия звуковой волны распределяется по поверхности, возрастающей с квадратом расстояния. Далее, в результате распространения звуковой волны часть ее энергии превращается в тепловую энергию частиц среды за счет вязкости и теплопроводности.
Значительно большее поглощение энергии звуковой волны происходит в случае молекулярного поглощения, когда часть звуковой энергии переходит в энергию внутримолекулярного движения. Кроме того, экстинкция (ослабление) звуковой волны может происходить при наличии неоднородности среды (турбулентность, наличие пузырьков воздуха в жидкости, капелек жидкости в газах и т. п.) за счет процессов рассеяния, поглощения и т. д.
При распространении звуковых колебаний большой интенсивности имеют место различные нелинейные процессы дополнительного поглощения из-за взаимодействия звукового поля с веществом.
При учете реальных условий распространения звуковой волны в ряде случаев не представляется возможным строго описать и количественно оценить затухание звуковых колебаний из-за сложных взаимодействий звукового поля с упругой средой. В этом случае для оценки величины сигнала в точке приема или измерения пользуются приближенными методами.
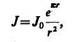
В общем виде зависимость силы звука от расстояния в изотропной неограниченной жидкой или газообразной среде можно выразить соотношением:
(2 29)
где /о — сила звука на расстоянии г= 1; ае — величина, определяющая расстояние (ге=1/ав), на котором происходит уменьшение силы звука Уве раз (е^2,72).
В соответствии с классической теорией Стокса:

где к — коэффициент теплопроводности; £, — вязкость (остальные обозначения соответствуют ранее принятым).
В случае ультразвуковых волн необходимо пользоваться релаксационной теорией, учитывающей дисперсию звука и молекулярное поглощение [3,5].
Изучение вопросов распространения звука в различных средах имеет большое практическое значение для самых различных приложений: изучение параметров турбулентных флуктуации в атмосфере с использованием сверхмощных низкочастотных звуковых локаторов (содаров); сверхдальняя (до 5000 км) гидролокация; звуковая разведка, ультразвуковая технология, атмосферная и строительная акустика и т. д. [3, 5, 16, 17].
Слышимые звуковые непериодические колебания с непрерывным спектром воспринимаются как шумы. Энергия этих звуковых колебаний распределена в более или менее широкой области частот. Иногда на этот непрерывный спектр накладываются тональные звуки. Интенсивность шумов может быть самой различной, от шелеста листьев деревьев до шума грозового разряда. Источники шумов обладают практически неисчерпаемым разнообразием. Различают источники шума естественного и техногенного происхождения.
Источники шума естественного происхождения. В реальной атмосфере вне зависимости от человека всегда присутствуют шумы естественного происхождения с весьма широким спектральным диапазоном от инфразвука с частотами 3·10-3 Гц до ультразвука и гиперзвука. Примерами шумов естественного происхождения являются шумы морского прибоя, горного обвала, грозового разряда, извержения вулкана, ветра в лесу, пения птиц, голоса животных, шум низвергающегося водопада.
Источниками инфразвуковых шумов могут быть различные метеорологические и географические явления, такие, как магнитные бури, полярные сияния, движения воздуха в кучевых и грозовых облаках, ураганы, землетрясения. В слышимой области частот под действием ветра всегда создается звуковой фон. В природе при обтекании потоком воздуха различных тел (углов зданий, гребней морских волн и т. п.) за счет отрыва вихрей образуются инфразвуковые колебания и слышимые низкие частоты. Шумы естественного происхождения настолько разнообразны, что в полной мере не поддаются подробному описанию.
Источники шума техногенного происхождения. К источникам шума техногенного происхождения относятся все применяемые в современной технике механизмы, оборудование и транспорт, которые создают значительное шумовое загрязнение окружающей среды.
Техногенный шумовой фон создается источниками, находящимися в постройках, сооружениях, зданиях и на территории между ними.
Примерами источников шумов техногенного происхождения являются: рельсовый, водный, авиационный и колесный транспорт, техническое оборудование промышленных и бытовых объектов, вентиляционные установки, санитарно-техническое оборудование, теплоэнергетические системы, электромеханические устройства, газотурбокомпрессоры, электротехнические приборы и оборудование, аэрогазодинамические установки и т. п. Перечисление источников шумовых загрязнений потребует достаточно много времени.
Классификация шумов по физической природе. Техногенные шумы по физической природе происхождения могут быть классифицированы на следующие группы:
— механические шумы, возникающие при взаимодействии различных деталей в механизмах, (одиночные или периодические удары), а также при вибрациях поверхностей устройств, машин, оборудования и т.п.;
— электромагнитные шумы, возникающие вследствие колебаний деталей и элементов электромеханических устройств под действием электромагнитных полей (дроссели, трансформаторы, статоры, роторы и т. п.);
— аэродинамические шумы, возникающие в результате вихревых процессов в газах (адиабатическое расширение сжатого газа или пара из замкнутого объема в атмосферу; возмущения, возникающие при движении тел с большими скоростями в газовой среде, при вращении лопаток турбин и т. п.);
— гидродинамические шумы, вызываемые различными процессами в жидкостях (например, возникновение гидравлического удара при быстром сокращении кавитационных пузырей, кавитация в ультразвуковом технологическом оборудовании, в жидкостных системах самолетов и т. п.).
Классификация шумов по спектрально-временным характеристикам. Спектрально-временные характеристики шумов обладают большим многообразием. Для технической оценки шумов введена их классификация по спектральным и временным характеристикам [18—21].
По характеру спектра шумы делятся на широкополосные и тональные. Под широкополосными шумами понимаются шумы, имеющие непрерывный спектр шириной более октавы (рис. 2.5, а). В технике приняты октавные полосы со среднегеометрическими частотами, например, 63, 125, 250, 500, 1000, 2000, 4000, 8000 Гц.
Тональный шум характеризуется тем, что в спектре присутствуют отдельные слышимые дискретные тона (рис. 2.5, 6). Тональность шума определяют в процессе измерений уровня звукового давления Lp в третьоктавных полосах частот при превышении уровня в одной полосе над соседними более, чем в 10 дБ. Рассчитывают Lp, по

Рис. 2.5. Разновидности спектров реальных источников шумов:
а — непрерывный спежтр (турбореактивный двигатель); б — тональный (осевой вентилятор); в — колеблющийся во времени (транспорт); г —импульсный спектр (удар молота); д — прерывистый (сбрасывание воздуха)
формуле (2.18). По временным характеристикам шумы делятся на постоянные и непостоянные. Постоянные шумы в процессе измерений на временной характеристике шумомера «медленно» не изменяют уровень сигнала более 5 дБА (дБА-величина по шкале А, принятая в технике измерений шума). В случае непостоянных шумов это изменение может быть более 5 дБА.
В свою очередь, непостоянные шумы делятся на импульсные, прерывистые и колеблющиеся во времени.
Импульсные, состоящие из одного или нескольких звуковых сигналов, длительностью 1 с и уровнями звука (Lp или Lj), отличающимися более, чем на 7 дБА при измерениях на временной характеристике шумомера «импульс» и «медленно» (рис. 2.5, г).
Прерывистые шумы отличаются тем, что уровень звука изменятся на 5 дБА и более несколько раз за время измерения, причем длительность импульса больше, чем при импульсных шумах и в момент действия импульса его амплитуда остается постоянной, превышающей фон (рис. 2.5, д).
Колеблющиеся во времени, отличающиеся тем, что уровень шума меняется со временем (рис. 2.5, в).
Рассмотрим некоторые примеры реальных источников техногенных шумов, отличающихся своими спектрально-временными характеристиками [18—21].
При работе турбореактивного двигателя (рис. 2.5, а) возникает шум с непрерывным спектром в широком диапазоне частот. При длительном испытании двигателя этот шум может быть постоянным во времени. На рис. 2.5, б представлен пример тонального спектра в третьоктавной полосе на среднегеометрической частоте, равной 125 Гц, возникающего при работе осевого вентилятора. Уровень шума в третьоктавной полосе превышает соответствующий уровень на соседних частотах более, чем на 10 дБ. Шум транспорта может быть примером непостоянного шума, колеблющимся во времени (рис. 2.5, в). На рис. 2.5, г представлен спектр импульсного шума, возникающего при ударе молота. Разность уровня звука AL, измеренного на характеристиках «импульс», и «медленно» отличается более, чем на 7 дБА. На рис. 2.5, д представлен спектр прерывистого шума, возникающего при периодическом сбросе сжатого воздуха газодинамической установки.
При одновременном воздействии нескольких источников может возникнуть шумовое поле со сложным спектрально-временным распределением. Методом последовательного выключения источников шума, если это возможно в процессе эксплуатации различных установок, можно определить вклад каждого из них.
В технике измерений шумов в зависимости от среды распространения различают воздушный и структурный шумы. Воздушный шум распространяется по воздуху от источника до точки измерения (регистрации, восприятия). Структурный шум возникает из-за колебаний упругой среды (стены зданий, перекрытия, перегородки, трубопроводы и т. д.) с последующим излучением колеблющихся поверхностей.
Техногенные шумы часто представляют собой смесь случайных и периодических колебаний. Для определения и количественной оценки шумов и описания их источников применяют различные математические модели в соответствии с их временной, спектральной и пространственной структурой. При этом учитывается структура шумов в источнике и свойства среды, в которой они распространяются.
Постоянные (стационарные) шумы характеризуются постоянством средних параметров: интенсивности или мощности, распределения интенсивности по спектру и т. п. Практически слышимый шум, возникающий в результате действия нескольких независимых источников (например, производственных установок, шума толпы или моря и т. д.) является квазипостоянным (квазистационарным).
Непостоянные (нестационарные) шумы характеризуются медленно меняющимися параметрами или длящимися короткие промежутки времени, меньшие, чем время усреднения в измерительном приборе. Временные характеристики таких шумов представлены на рис. 2.5, в, г, д (например, шум проходящего транспорта, удар молота или отдельные стуки в производственных условиях и т. п.).
Целью исследований акустических шумов является разработка методов снижения их вредного воздействия на человека и на различные системы.
В ряде случаев шумы используются как источники информации, например, в гидролокации по шумам, возникающим от гребных винтов надводных кораблей и подводных лодок, их обнаруживают и пеленгуют.