Каталоги.
ФАЙЛОВЫE СИСТЕМЫ.
Файловая система – это набор из данных, структур данных, системных утилит, предназначенных для хранения структурной информации на внешних, как правило, энергонезависимых носителях.
Файл – это
1) байтовые потоки
2) блочные файлы (блок – неделимый кусок)
3) блочные файлы с ключами (прародители баз данных)
Файлы бывают:
1) пользовательскими – файлы данных
2) файлами устройства – блочные (дисковод, винчестер), побайтовые (шина USB, звуковая и видеокарты)
3) специализированные файлы ОС
- каталог
- загрузочный сектор
-таблица размещения файлов
-виртуальные файлы – в реальности не существуют
1) специальные служебные файл, который хранит информацию о других элементах файловой системы.
2) контейнер для пользователя
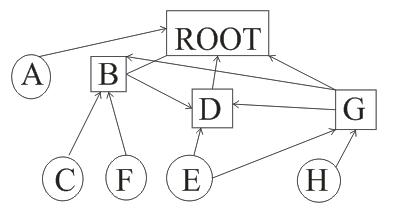
1) одноуровневый каталог

2) древовидная структура

3) сеть

/G/H, /D/G/H, B/G/H/, D/B/G/H






