Для определения оптимальной периодичности диагностирования может быть использована Модель Марковского случайного процесса для определения оптимальной периодичности диагностирования для получения зависимости
Модель может быть использована для получения зависимости технического использования от периодичности диагностирования и получения оптимального значения данного коэффициента. 
(рисунок)
– объект диагностирования исправен
– объект технического диагностирования работоспособен.
– объект технического диагностирования отказал, он восстанавливается, и приводиться в исправное состояние.
– объект технического диагностирования находиться в процессе технического диагностирования, при наличии дефекта он восстанавливается, и приводиться в исправное состояние.
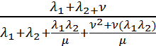
- интенсивность возникновения дефекта

состояния 
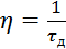
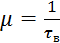
μ- интенсивность устранения отказа, перевода изделия в исправное состояния. 
ν =
- интенсивность отказа.обратно пропорциональна периодичности диагностирования.
Интенсивность диагностирования и восстановления неисправностей
Интенсивность устранения отказа
(импульсный синхронизатор, столбцы-элементарная проверка S-блок.
6 строк.s1-состояние до отказа.)
Ориентированный граф строится по известным состоянием, принятым к различению, объекта диагностирования.Интенсивности переходов из состояния в состояния предполагается известными. 1/час.
Составляется с-ма уравнений Колмогорова- Чепмена из решений которой находятся зависимости
.
Заключение: определяется максимальное значение коэффициента периодичности диагностирования от…
С-ма уравнений Колмогорова Чепмена:


= 
Вывод: оптимальное значение Тд может быть получена путем вычисления на ЭВМ и построения зависимости
в результате получается зависимости полученные на рисунке 
Сложные модели могут включать значительно большее число учитываемых состояний в котором может находится объект диагностирования.

S1- исправен
S2- работоспособен
S3- объект тд функционирует, в нем имеется неявный отказ
S4- отказал
S5- диагностируется исправный
S6- диагностируется работоспособность объекта ТД с вероятностью обнаружения дефекта Pод
S7-восстанавливается исправное состояние ОТД с коэффициентом восстановления исправности. Кв. и.
S8-диагностируется функционирующий с вероятностью Pо.о. (вероятность обнаружения отказа).
- интенсивность возникновения дефекта
(неявный отказ).
возникновения явного отказа
ЭТТА- интенсивность диагностирования η






