В соответствии с ГОСТ 12.1.016-79 объем воздуха, аспирированного при отборе проб приводят к нормальным условиям.
Т=293К (273+20ºС)
Р=101,33кПа (760 мм рт.ст.)

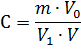
При отборе проб воздуха через поглотительные сосуды на твердые сорбенты или жидкие среды концентрацию вещества определяют по формуле

где
- масса вещества в анализируемом объеме пробы, мкг;
- общий объем пробы, мл;
- объем пробы, взятый для анализа, мл;
- объем аспирируемого воздуха, мг/м3.
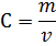
Если для анализа берут всю пробу

где
- объем аспирируемого воздуха, мг/м3.
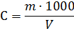
При отборе проб воздуха на фильтры концентрация примесей определяется







