Под режимом работы понимается определенное чередование времени работы и отдыха.
Для проектируемого депо установим следующий режим работы:
I вариант—пятидневная двухсменная рабочая неделя, продолжительность смены 8 часов;
II вариант — ежедневная односменная рабочая неделя (кроме праздничных дней), продолжительность смены 12 часов. Для рабочих — скользящий график с чередованием двух дней работы и двух дней отдыха.
На основании выбранного режима работы депо определяются годовые фонды рабочего времени по приведенным ниже формулам.
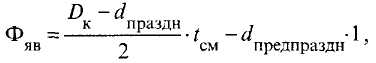
Для явочного рабочего времени:
I вариант

II вариант

где DК — количество календарных дней в году;
d ВЫХ — количество выходных дней в году;
d праздн — количество праздничных дней в году;
d предпраздн — количество предпраздничных дней в году с сокращением продолжительности рабочего дня на 1 час;
t см — продолжительность смены, ч.
Для списочного рабочего времени:

где е — коэффициент, учитывающий рабочих, отсутствующих по уважительным причинам, т.е. продолжительность отпусков, болезни, выполнение гособязанностей; для депо е = 7—15 %.
|
|
|
Для оборудования депо:

где D р — количество рабочих дней в году при выбранном режиме работы;
т см — количество смен работы оборудования;
ηр — коэффициент, учитывающий время простоя оборудования в ремонте;
η р = 0,95-0,98.
2.1.3. Выбор метода ремонта вагонов в депо
В данном пункте следует описать суть применяемых методов ремонта вагонов в депо (стационарного и поточного) с указанием их недостатков и преимуществ, а затем обосновать выбранный в проекте метод ремонта вагонов и их узлов, используя учебную литературу.






