Лекция 3.
Объемные насосы. Параметры объемных насосов. Конструкция и принцип действия. Мощность насоса. Поршневые насосы. Роторные насосы. Роторно-поршневые насосы. Подача роторно-поршневых насосов. КПД роторно-поршневых насосов.
В объемном насосе перемещение жидкости осуществляется отдельными порциями путем вытеснения ее из рабочих камер вытеснителями. Под вытеснителем понимают рабочий орган насоса, непосредственно совершающий работу вытеснения. Вытеснителями могут быть поршни, плунжеры, зубья шестерен, пластины, выступы винтов и т. д.
По характеру процесса вытеснения жидкости из рабочих камер объемные насосы делятся на возвратно-поступательные (поршневые) и роторные (вращательные).
В возвратно-поступательном насосе жидкость вытесняется из неподвижных рабочих камер в результате возвратно-поступательного движения вытеснителей (поршней, плунжеров, диафрагм).
Роторные насосы по характеру рабочего процесса могут быть разделены на две группы: роторно-вращательные и роторно-посту нательные.
|
|
|
В роторно-вращательном насосе жидкость вытесняется из перемещаемых рабочих камер, объем которых изменяется в результате вращательного движения вытеснителей (шестерен, винтов).
В роторно-поступательном (роторно-поршневом) насосе вращение ротора сочетается с возвратно-поступательным движением поршней, размещенных в цилиндрах ротора. Жидкость из рабочих камер (цилиндров) вытесняется поршнями, которые, вращаясь вместе с ротором, совершают возвратно-поступательное движение относительно ротора.
Таким образом, объемные насосы могут быть возвратно-поступательного, вращательного и комбинированного действия.
К общим свойствам объемных насосов, которые обусловлены их принципом действия, относятся следующие:
1) цикличность рабочего процесса и связанные с ней порцион-ность и неравномерность подачи;
2) самовсасывание насоса, т. е. способность объемного насоса создавать такой вакуум во всасывающем трубопроводе, заполненном воздухом или парами, который будет достаточным для подъема жидкости до уровня расположения насоса;
3) независимость давления, создаваемого объемным насосом, от скорости движения вытеснителя (рабочего органа) насоса;
4) малая зависимость подачи насоса от развиваемого им давления (жесткость характеристики);
5) герметичность рабочих камер насоса, т. е. постоянное отделение напорного патрубка от всасывающего.
ПАРАМЕТРЫ ОБЪЕМНЫХ НАСОСОВ
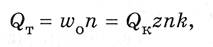
Подача. Различают теоретическую QT и действительную QД подачу объемных насосов.
Теоретической подачей объемного насоса называют подачу несжимаемой жидкости при отсутствии каких-либо утечек из рабочей камеры. Осредненная по времени теоретическая подача (м3/с) выражается через рабочий объем насоса и частоту его рабочих циклов:
|
|
|

где ω0— рабочий объем насоса, м3; п — частота рабочих циклов (частота вращения вала), с-1; QK — идеальная подача из каждой рабочей камеры за один цикл, м3/цикл; z — число рабочих камер в насосе; k — кратность действия насоса, т. е. число подач из каждой камеры за один цикл.
Действительная подача объемного насоса — это количество жидкости, поступающее в напорный патрубок реального насоса при перекачке реальной жидкости.
Действительная подача (м3/с) меньше теоретической вследствие неполного заполнения объема рабочей камеры реальной жидкостью в процессе всасывания и утечек жидкости при ходе нагнетания, которая определяется из выражения

где λ- коэффициент подачи.
Когда сжатие жидкости пренебрежимо мало, коэффициент подачи равен объемному КПД насоса.
Напор насоса. Поскольку приращение энергии в объемном насосе происходит за счет статического напора, то давление, создаваемое объемным насосом, рн (Па) можно представить как разность избыточных давлений (давления на выходе из насоса р2 и давления на входе в него р1):
рн=р2-р1
поэтому напор объемного насоса определяется из выражения:
H=pнρg.
Мощность насоса. Полезная мощность, развиваемая объемным насосом, выразится так:

Мощность (Вт), потребляемая насосом с вращательным приводом, находится по формуле

где Т — момент на валу насоса, Н • м; ωн — угловая скорость вала насоса, рад/с.
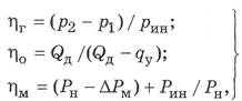
КПД насоса есть отношение полезной мощности к мощности, потребляемой "насосом:

Для объемных насосов, как и для динамических, различают гидравлический ηг, объемный ηо и механический ηм КПД, учитывающие три вида потерь энергии:
гидравлические потери, т. е. потери напора (давления) на преодоление гидравлических сопротивлений;
объемные потери от перетекания жидкости через зазоры;
механические потери механической энергии на преодоление сил трения в механизме насоса:

где рин — индикаторное давление, создаваемое в рабочей камере насоса и соответствующее теоретическому напору в лопастном насосе; qу — величина утечек жидкости из полости нагнетания; ∆РМ — потери мощности на преодоление сил трения в насосе; Рин — индикаторная мощность, сообщаемая жидкости в рабочей камере: 
Полный КПД объемного насоса равен произведению трех частных КПД — гидравлического, объемного и механического:
