Насосы, которые работают путем непосредственной передачи энергии от струи рабочего тела перекачиваемой жидкости, называются струйными.
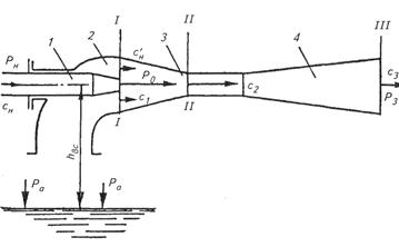
Независимо от конструкции и назначения каждый струйный насос (рис. 2.10) имеет: сопло 1, в котором потенциальная энергия рабочего тела преобразуется в кинетическую энергию; приемную камеру 2, в которую подсасывается перекачиваемая жидкость; камеру смешения 3, где энергия частиц потока рабочей жидкости передается частицам перекачиваемой жидкости, которая при этом вовлекается в движение; диффузор 4, служащий для преобразования кинетической энергии потока рабочей и перекачиваемой жидкости в энергию давления.
Таким образом, принцип действия струйного насоса не требует наличия в его конструкции подвижных частей, а, следовательно, и смазки. Большие скорости, как рабочего тела, так и смеси его с перекачиваемой жидкостью, обеспечивают небольшие размеры насосов при перемещении больших объемов перекачиваемой жидкости или газа.
При соответствующих свойствах рабочего и перекачиваемого тел насосы могут работать в любой среде, например в затопленном помещении. Струйные насосы легко управляются как дистанционно, так и автоматически. К недостаткам этих насосов следует отнести малую экономичность и зависимость от источника, сообщающего энергию рабочему телу.
|
|
|
Процесс обмена энергией между частицами струи рабочего тела и частицами перекачиваемой жидкости, процесс последующего преобразования кинетической энергии потока образующейся смеси в потенциальную энергию и особенности конструктивного выполнения основных частей струйного насоса зависят, прежде всего от агрегатного состояния рабочего и перекачиваемого тел. Поэтому агрегатное состояние этих тел служит первым признаком для классификации струйных насосов на насосы с однородным агрегатным состоянием вещества и насосы с разнородным агрегатным состоянием вещества.

Рис. 2.10. Принципиальная схема струйного насоса
Насосы с однородным состоянием вещества делятся на жид-костно-жидкостные и газо-газовые, а насосы с разнородным агрегатным состоянием тел — на жидкостно-газовые и газожидкостные. Обычно эти два признака совмещаются и одновременно уточняются (например, водо-водяной струйный насос, паровоздушный струйный насос и т. д.).
Как и для других типов насосов, классификация струйных насосов уточняется по назначению, конструктивным признакам и т. п.
В системах жизнеобеспечения распространение получили водо-водяные и пароэжекторные струйные насосы; область применения тех и других вытекает непосредственно из их свойств.
|
|
|
Водо-водяные струйные насосы широко используются в системах теплоснабжения, водопенного пожаротушения и водоосушения. В этом случае особо важными являются такие их свойства, как высокая готовность к действию, способность работать в затопленном помещении, легкость управления, малые габаритные размеры и т. д. При этом экономические характеристики насосов не играют особой роли, так как на первый план выступает требование минимальных размеров и массы.
Пароэжекторные струйные насосы получили широкое распространение в холодильной технике.
Принципиальное отличие струйных насосов от насосов других типов требует еще одной характеристики для оценки их качества, дополняющей рассмотренные выше. Этой особой характеристикой является коэффициент эжекции и, под которым понимается отношение
и=Мвс/Мр,
где Мвс — массовое количество перемещаемого или всасываемого тела, кг/с; М — массовый расход рабочего тела, кг/с.
Коэффициент эжекции служит критерием для сравнения качества организации рабочего процесса и конструктивного исполнения струйных насосов, работающих в одинаковых условиях.
Процессы в водо-водяных струйных насосах. Основными процессами, происходящими в этих насосах являются: истечение рабочей воды из сопла; процессы смешения рабочей и перекачиваемой воды; процесс повышения давления. Рассмотрим содержание этих процессов.
Истечение рабочей воды из сопла. В соплах потенциальная энергия рабочей воды преобразуется в кинетическую энергию струи воды, вытекающей из сопла. Эффективность работы сопла определяет превращения располагаемой энергии перед соплом в кинетическую энергию струи на выходе из сопла.
Процесс смешения рабочей и перекачиваемой воды. Процессы, протекающие в камере смешения водо-водяного струйного насоса, подвергались неоднократным экспериментальным исследованиям. Взаимодействие вытекающей из рабочего сопла струи и увлекаемой ею воды осуществляется путем турбулентного обмена импульсами. Вследствие этого скорость и сечение рабочей струи по мере удаления от выходного среза сопла уменьшаются, а объем вовлекаемой в движение воды и ее скорость растут. На некотором расстоянии от выходного среза сопла смешение потоков заканчивается, образуется один общий поток с определенным законом изменения скорости по его сечению. Давление в процессе смешения полагают постоянным на всем участке смешения.
Процесс повышения давления. В расходящейся части диффузора по ходу потока скорость его падает, а давление в потоке растет. Следовательно, кинетическая энергия потока преобразуется в потенциальную энергию давления жидкости. Процесс преобразования сопровождается потерями, которые определяются по разности напоров потока до и после диффузора, т. е. между сечениями II-II и III-III (рис. 2.10) на основании закона сохранения энергии.
Характеристики водо-водяных струйных насосов. В процессе эксплуатации водо-водяных струйных насосов могут изменяться начальное давление рабочей воды, давление нагнетания и давление всасывания, что приводит к изменению коэффициента эжекции и, а следовательно, и подачи струйного насоса.
Оценку влияния изменения перечисленных выше параметров на подачу и напор струйного насоса производят по характеристике Н = f (и), которую получают на основании энергетического баланса (рис. 2.11).

Рис. 2.11. Характеристики водо-водяных струйных насосов:
1 — высоконапорных; 2 — при умеренных напорах
Повышение начального давления воды приводит к увеличению напора до некоторого предела, по достижении которого из-за резкого увеличения потерь в проточной части напор насоса может снизиться.
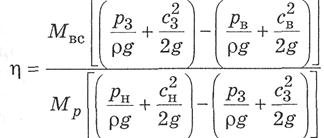
КПД водо-водяного струйного насоса определяется отношением полезно затраченной энергии, сообщенной перекачиваемой жидкости в насосе, к некоторой части подведенной энергии и выражается формулой
|
|
|

Данная формула показывает, что КПД насоса зависит от качества работы проточной части насоса и условий его работы.
Рассмотрим условия надежности всасывания водо-водяного струйного насоса. Во время работы водо-водяного струйного насоса часть энергии потока всасываемой жидкости теряется на преодоление сопротивлений во всасывающем трубопроводе и полости всасывания насоса. Эти потери энергии невелики, поэтому при рассмотрении энергетического баланса их не учитывают. Однако при анализе надежности условий всасывания водо-водяного струйного насоса, особенно при существенной высоте всасывания, эти незначительные потери могут явиться причиной появления кавитации и срыва работы насоса.
Надежность всасывания водо-водяного струйного насоса зависит от тех же факторов, что и надежность всасывания других насосов.