Установленная в § 85 связь между напряженностью поля и потенциалом позволяет по известной напряженности поля найти разность потенциалов между двумя произвольными точками этого поля.
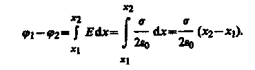
1. Поле равномерно заряженной бесконечной плоскости определяется формулой (82.1):

где s — поверхностная плотность заряда. Разность потенциалов между точками, лежащими на расстояниях х1 и х2от плоскости, равна (используем формулу (85.1))

2. Поле двух бесконечных параллельных разноименно заряженных плоскостей определяется формулой (8X2): Е = s/e0, где s — поверхностная плотность заряда. Разность потенциалов между плоскостями, расстояние между которыми равно d (см. формулу (85.1)), равна
(86.1)
3. Поле равномерно заряженной сферической поверхности радиуса Rс общим зарядом Qвнесферы (r > R) вычисляется по (82.3):
. Разность потенциалов между двумя точками, лежащими на расстояниях r1 и г2 от центра сферы (r1 > R, r2 > К, r2 > r1), равна
(86.2)
Если принять r1 = r и r2 = ¥, то потенциал поля вне сферической поверхности, согласно формуле (86.2), задается выражением
|
|
|

(ср. с формулой (84.5)). Внутри сферической поверхности потенциал всюду одинаков и равен

График зависимости jот rприведен на рис. 134.

Рис. 134
3.Поле объемно заряженного шара радиуса Rс общим зарядом Q внешара (r > R) вычисляется по формуле (82.3), поэтому разность потенциалов между двумя точками, лежащими на расстояниях r1 и г2 от центра шара (r1 > R, г2 > R, г2 > г1),определяется формулой (86.2). В любой точке, лежащей внутри шара на расстоянии r ' от его центра (r¢ < R), напряженность определяется выражением (82.4):

Следовательно, разность потенциалов между двумя точками, лежащими на расстояниях r¢1 и r¢2 от центра шара (r¢1 < R, r¢2 < R, r¢2 > r¢1) равна

5. Поле равномерно заряженного бесконечного цилиндра радиуса R, заряженного с линейной плотностью t, вне цилиндра (r > R)определяется формулой (82.5): Е=. Следовательно, разность потенциалов между двумя точками, лежащими на расстояниях r1 и г2 от оси заряженного цилиндра (r1 >R. г2 > R,г2 > г1), равна
(86.3)






