Теория
Наиболее полно корпускулярные свойства света проявляются в эффекте Комптона. Американский физик А. Комптон (1892—1962), исследуя в 1923 г. рассеяние монохроматического рентгеновского излучения веществами с легкими атомами (парафин, бор), обнаружил, что в составе рассеянного излучения наряду с излучением первоначальной длины волны наблюдается также более длинноволновое излучение. Опыты показали, что разность ДЯ=Я'—Я не зависит от длины волны Я падающего излучения и природы рассеивающего вещества, а определяется только углом рассеяния в:
(206.1)
где l¢ — длина волны рассеянного излучения, lC - комптоновская длина волны (при рассеянии фотона на электроне lC =2,426 пм).
Эффектом Комитета называется упругое рассеяние коротковолнового электромагнитного излучения (рентгеновского и g-излучений) на свободных (или слабосвязанных) электронах вещества, сопровождающееся увеличением длины волны. Этот эффект не укладывается в рамки волновой теории, согласно которой длина волны при рассеянии изменяться не должна: под действием периодического поля световой волны электрон колеблется с частотой поля и поэтому излучает рассеянные волны той же частоты.
|
|
|
Объяснение эффекта Комптона дано на основе квантовых представлений о природе света. Если считать, как это делает квантовая теория, что излучение имеет корпускулярную природу, т. е. представляет собой поток фотонов, то эффект Комптона — результат упругого столкновения рентгеновских фотонов со свободными электронами вещества (для легких атомов электроны слабо связаны с ядрами атомов, поэтому их можно считать свободными). В процессе этого столкновения фотон передает электрону часть своих энергии и импульса в соответствии с законами их сохранения.
Рассмотрим упругое столкновение двух частиц (рис. 291) — налетающего фотона, обладающего импульсом рg = hv/c и энергией eg = hv, с покоящимся свободным электроном (энергия покоя W0 = m0c2; m0— масса покоя электрона). Фотон, столкнувшись с электроном, передает ему часть своей энергии и импульса и изменяет направление движения (рассеивается). Уменьшение энергии фотона означает увеличение длины волны рассеянного излучения. При каждом столкновении выполняются законы со хранения энергии и импульса.
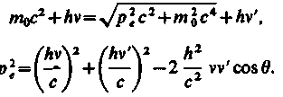
Согласно закону сохранения энергии,
(206.2)
а согласно закону сохранения импульса,

где W0 = m0c2—энергия электрона до столкновения, eg = hv — энергия налетающего фотона,
— энергия электрона после столкновения (используется релятивистская формула, так как скорость электрона отдачи в общем случае значительна), er=Av' — энергия рассеянного фотона. Подставив в выражение (206.2) значения величин и представив (206.3) в соответствии с рис. 291, получим
|
|
|
(206.4) (206.5)

Рис. 291
Решая уравнения (206.4) и (206.5) совместно, получим

Поскольку v = c/l, v'=c/l' и Dl = l'—l, получим

Выражение (206.6) есть не что иное, как полученная экспериментально Комптоном формула (206.1). Подстановка в нее значений h, m0 и сдает комптоновскую длину волны электрона lC = h/(mCс)= 2,426 им.
Наличие в составе рассеянного излучения несмещенной линии (излучения первоначальной длины волны) можно обменить следующим образом. При рассмотрении механизма рассеяния предполагалось, что фотон соударяется лишь со свободным электроном. Однако если электрон сильно связан с атомом, как это имеет место для внутренних электронов (особенно в тяжелых атомах), то фотон обменивается энергией и импульсом с атомом в целом. Так как масса атома по сравнению с массой электрона очень велика, то атому передается лишь ничтожная часть энергии фотона. Поэтому в данном случае длина волны l' рассеянного излучения практически не будет отличаться от длины волны l падающего излучения.
Из приведенных рассуждений следует также, что эффект Комптона не может наблюдаться в видимой области спектра, поскольку энергия фотона видимого света сравнима с энергией связи электрона с атомом, при этом даже внешний электрон нельзя считать свободным.
Эффект Комптона наблюдается не только на электронах, но и на других заряженных частицах, например протонах, однако из-за большой массы протона его отдача «просматривается» лишь при рассеянии фотонов очень высоких энергий.
Как эффект Комптона, так и фотоэффект на основе квантовых представлении обусловлены взаимодействием фотонов с электронами. В первом случае фотон рассеивается, во втором — поглощается. Рассеяние происходит при взаимодействии фотона со свободным электроном, а фотоэффект — со связанными электронами. Можно показать что при столкновении фотона со свободным электроном не может произойти поглощения фотона, так как это находится в противоречии с законами сохранения импульса и энергии. Поэтому при взаимодействии фотонов со свободными электрона-ми может наблюдаться только их рассеяние, т. е. эффект Комптона.






