Рассмотрим простейший потенциальный барьер прямоугольной формы (рис. 298, а) для одномерного (по оси х)движения частицы. Для потенциального барьера прямоугольной формы высоты Uи ширины l можем записать
(для области 1),
(для области 2),
(для области 3).
При данных условиях задачи классическая частица, обладая энергией Е, либо беспрепятственно пройдет над барьером (при Е > U),либо отразится от него (при Е < U)и будет двигаться в обратную сторону, т. е. она не может проникнуть сквозь барьер. Для микрочастицы же, даже при E > U, имеется отличная от нуля вероятность, что частица отразится от барьера и будет двигаться в обратную сторону. При E < Uимеется также отличная от нуля вероятность, что частица окажется в области х > l,т. е. проникает сквозь барьер. Подобные, казалось бы, парадоксальные выводы следуют непосредственно из решения уравнения Шредингера, описывающего движение микро частицы при условиях данной задачи.

Рис. 298
Уравнение Шредингера (217.5) для стационарных состояний для каждой из выделенных на рис. 298, а области имеет вид
(221.1)
Общие решения этих дифференциальных уравнений:

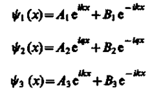
(для области 1); (221.2)
(для области 2);
(для области 3). (221.3)
В частности, для области 1полная волновая функция, согласно (217.4), будет иметь вид
(221.4)
В этом выражении первый член представляет собой плоскую волну типа (219.3), распространяющуюся в положительном направлении оси х (соответствует частице, движущейся в сторону барьера), а второй — волну, распространяющуюся в противоположном направлении, т. е. отраженную от барьера (соответствует частице, движущейся от барьера налево).
Решение (221.3) содержит также волны (после умножения на временной множитель), распространяющиеся в обе стороны. Однако в области 3 имеется только волна, прошедшая сквозь барьер и распространяющаяся слева направо. Поэтому коэффициент В3 в формуле (221.3) следует принять равным нулю.
В области 2 решение зависит от соотношений Е > U или Е < U. Физический интерес представляет случай, когда полная энергия частицы меньше высоты потенциального барьера, поскольку при Е < Uзаконы классической физики однозначно не разрешают частице проникнуть сквозь барьер. В данном случае, согласно (221.1), q = ib — мнимое число, где

Учитывая значение qи B3=0, получим решения уравнения Шредингера для трех областей в следующем виде:

(для области 3). (221.5)
В области 2 функция (221.5) уже не соответствует плоским волнам, распространяющимся в обе стороны, поскольку показатели степени экспонент не мнимые, а действительные. Можно показать, что для частного случая высокого и широкого барьера, когда b l >>1, B2 » 0.
Качественный характер функций y1(x), y2(x), y3(x) иллюстрируется на рис. 298, б, откуда следует, что волновая функция не равна нулю и внутри барьера, а в области 3, если барьер не очень широк, будет опять иметь вид волн де Бройля с тем же импульсом, т. е. с той же частотой, но с меньшей амплитудой. Следовательно, получили, что частица имеет отличную от нуля вероятность прохождения сквозь потенциальный барьер конечной ширины.
Таким образом, квантовая механика приводит к принципиально новому специфическому квантовому явлению, получившему название туннельного эффекта, в результате которого микрообъект может «пройти» сквозь потенциальный барьер.
Для описания туннельного эффекта используют понятие коэффициента прозрачности D потенциального барьера, определяемого как отношение плотности потока прошедших частиц к плотности потока падающих. Можно показать, что

Для того чтобы найти отношение |A3/A1|2, необходимо воспользоваться условиями непрерывности y и y ' на границах барьера х = 0 и х = l (рис. 298):
(221.6)
Эти четыре условия дают возможность выразить коэффициенты A2, A3, B1 и B2через A1. Совместное решение уравнений (221.6) для прямоугольного потенциального барьера дает (в предположении, что коэффициент прозрачности мал по сравнению с единицей)
(221.7)
где U— высота потенциального барьера, Е— энергия частицы, l — ширина барьера, D0— постоянный множитель, который можно приравнять единице. Из выражения (221.7) следует, что D сильно зависит от массы mчастицы, ширины l барьера и от (U - E);чем шире барьер, тем меньше вероятность прохождения сквозь него частицы. Для потенциального барьера произвольной формы (рис. 299), удовлетворяющей условиям так называемого квазиклассического приближения (достаточно гладкая форма кривой), имеем



Рис. 299
С классической точки зрения прохождение частицы сквозь потенциальный барьер при Е < Uневозможно, так как частица, находясь в области барьера, должна была бы обладать отрицательной кинетической энергией. Туннельный эффект является специфическим квантовым эффектом. Прохождение частицы сквозь область, в которую, согласно законам классической механики, она не может проникнуть, можно пояснить соотношением неопределенностей. Неопределенность импульса Dр на отрезке Dx = l составляет Dр > h/ l. Связанная с. этим разбросом в значениях импульса кинетическая энергия (Dр)2/(2m) может оказаться достаточной для того, чтобы полная энергия частицы оказалась больше потенциальной.
Основы теории туннельных переходов заложены работами Л. И. Мандельштама и М. А. Леонтовича (1903—1981). Туннельное прохождение сквозь потенциальный барьер лежит в основе многих явлений физики твердого тела (например, явления в контактном слое на границе двух полупроводников), атомной и ядерной физики (например, a-распад, протекание термоядерных реакций).