Равновесие на рынке труда достигается, когда предельная производительность труда равна предельным издержкам труда: MRPL=MRCL.
На рис. 37.4 в точке Е спрос на труд равен предложению труда. Это означает, что производственные фирмы, согласные платить заработную плату WЕ, находят на рынке необходимое количество труда, их спрос на труд удовлетворен полностью. При любой другой величине заработной платы, отличной от WЕ, равновесие на рынке труда нарушается.
При совпадении спроса и предложения труда заработная плата выступает как цена равновесия на рынке труда.

Рисунок 37.4 – Равновесие на рынке труда
В случае превышения ставкой заработной платы уровня равновесной (случай W1) предложение на рынке труда превышает спрос. Следовательно, возникает избыток предложения труда (QLS1-QLD1) или безработица. В случае снижения заработной платы, по сравнению с равновесной, спрос на рынке превышает предложение, таким образом, возникают незанятые рабочие места.
В условиях совершенной конкуренции рассмотренные ситуации не могут быть устойчивыми, так как подвергаются коррекции со стороны рыночных механизмов.
|
|
|
Действительно, если предложение труда больше спроса на него вследствие установления ставки заработной платы выше равновесного уровня, появляются безработные, готовые предложить свой труд по более низкой цене, на которую вынуждены согласится и те, кто занят в производстве, чтобы не потерять свои рабочие места. Предприниматели, в свою очередь, готовы нанять большее количество труда, но при условии снижения заработной платы. Таким образом, тенденция к снижению заработной платы складывается, как со стороны предложения труда, так и со стороны спроса на труд.
В случае, когда спрос на труд превышает его предложение из-за снижения ставки заработной платы по сравнению с равновесным значением, работодатели, чтобы заполнить пустующие рабочие места, готовы повысить заработную плату. Благодаря чему расширяется круг работников, готовых предложить свой труд. В результате равновесие на рынке труда восстанавливается.
На современном рынке труда условия совершенной конкуренции, как правило, отсутствуют.
Условие равновесия на рынке труда в значительной степени определяется вмешательством государства. Наличие пособий по безработице влияет на условия предложения труда. К тому же существует установленная государством минимальная ставка заработной платы, которая создает ограничения для действия автоматического приспособления рынка к сдвигам спроса и предложения.
Функционирование рынка труда связано также с профсоюзами и с союзами предпринимателей. Профсоюзы пытаются воздействовать на уровень заработной платы путем ограниченного предложения труда, установления стандартных ставок заработной платы при заключении коллективного договора.
|
|
|
Однако часто профсоюзам противостоят крупные производственные фирмы. Последние будут стремиться к установлению заработной платы ниже конкурентной равновесной ставки, а профсоюз будет настаивать на какой-то сверхравновесной конкурентной ставке. Исход борьбы зависит от силы этих двух сторон.
Эластичность спроса на труд и законы производственного спроса. Важным показателем при оценке спроса на труд является его эластичность по заработной плате, или, как его называют, собственная эластичность спроса.
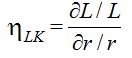
Коэффициент эластичности показывает, на сколько процентов изменяется спрос на труд при изменении зарплаты на 1%, ф-ла 37.3:
(37.3)
То есть с ростом зарплаты требуемое количество человеко-часов всегда снижается, и наоборот, с падением зарплаты растет; очевидно, что коэффициент эластичности всегда отрицательный. Точнее говоря, он принимает значения от нуля (тогда говорят, что спрос абсолютно неэластичен, и график функции спроса выглядит как вертикальная линия) до минус бесконечности (в этом случае график принимает вид горизонтальной прямой, тогда говорят об абсолютной эластичности спроса на труд). Если коэффициент эластичности по модулю больше единицы, спрос называют эластичным, если меньше единицы – неэластичным:
E > 1 – эластичный спрос, E < 1 – неэластичный спрос.
Следует заметить, что эластичность всегда измеряется в окрестностях некоторой определенной точки, принадлежащей кривой спроса на труд, и в разных точках этот показатель будет неодинаковым. При проведении экономических исследований ученых интересует именно определенная точка и ее окрестности, например, рыночное равновесие нарушается в результате деятельности профсоюзов или в результате государственного вмешательства. Необходимо проанализировать последствия, реакцию работников и нанимателей, занятость и зарплату. В этом случае как раз и проводятся оценки эластичности спроса в окрестностях точки равновесия; говорить же об эластичности всей кривой спроса некорректно.
Эластичность спроса на труд по зарплате определяется четырьмя законами производного спроса, или, как их еще называют, законами Хикса–Маршалла. Итак, эластичность спроса на труд по зарплате будет тем больше, чем:
– более эластичен спрос на конечную продукцию;
– выше эластичность замещения труда капиталом;
– больше доля на труд в совокупных издержках производства;
– выше эластичность предложения других факторов производства.
Данные законы объясняют, почему профсоюзы всегда сильнее в тех отраслях экономики, где спрос на труд менее эластичен.
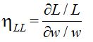
Помимо коэффициента собственной эластичности в экономических исследованиях также широко используются показатели так называемой пере-крестной эластичности спроса на труд. Например, коэффициент эластичности спроса на труд по цене капитала равен, формула 37.4:
(37.4)
В отличие от собственной эластичности спроса на труд данный коэффициент, показывающий, насколько чувствителен спрос труда к цене капитала, может принимать как положительные, так и отрицательные значения. Это зависит от того, являются ли труд и капитал в данном производстве дополняющими или заменяющими друг друга факторами (комплементами или субститутами):
E > 0 – факторы субституты,
E < 0 – факторы–комплементы.
Как показывают исследования, в большинстве случаев простой, низко-квалифицированный труд и капитал выступают как субституты, тогда как высококвалифицированный труд, наоборот, дополняет капитал. Важно понимать, что значение коэффициента перекрестной эластичности зависит от того, какой эффект действует сильнее при росте цен – эффект масштаба производства или эффект замещения. Например, рост зарплаты низкоквалифицированных рабочих вызовет тенденцию их замещения высококвалифицированными (если зарплата последних и их продуктивность неизменны).
|
|
|
Тогда издержки производства вырастут и выпуск сократится. Значит, в результате действия эффекта замещения занятость более квалифицированных рабочих должна вырасти, а в результате эффекта масштаба – сократиться. Итог при этом неоднозначен, именно поэтому коэффициенты перекрестной эластичности могут иметь разные знаки.
Если необходимо узнать, как изменяется цена одного фактора производства при изменении количества другого фактора, говорят о перекрестной эластичности факторных цен.
Оценки перекрестной эластичности зарплаты отдельных категорий работников очень важны, т.к. позволяют ответить на вопрос, как влияет уровень иммиграции, с которым периодически сталкиваются страны, на уровень жизни местного населения. Существуют два полярных взгляда на данную проблему: с одной стороны, поток иммигрантов, согласных выполнять непривлекательную для местного населения работу за более низкую плату, высвобождает более квалифицированных работников для более продуктивного труда, где они могут полностью использовать свои знания и навыки; в этом случае поток иммигрантов повышает продуктивность местной рабочей силы, и данные категории работников будут комплементами на рынке труда. Однако, по другой точке зрения, влияние иммигрантов на рынки труда местной рабочей силы отрицательно – зарплата понижается, безработица растет. Уровень жизни падает, т.е. перекрестная эластичность зарплаты местных работников отрицательна, и иммигранты и местные работники выступают как факторы-субституты. Согласно исследованиям последних лет и статистическим данным, значимого снижения зарплаты на рынке принимающих стран нет. Это объясняется мобильностью рабочей силы внутри страны.