Если в системе действует сопротивление движению, то колебания будут затухающими (рис.3). наличие сопротивления движению означает действие другой силы, которую принимают пропорциональной скорости
(6)
Это сила направлена против направления движения системы.
Тогда уравнение движения 
Или

Где
; 
β – коэффициент трения,
ω0 – частота собственных колебаний
Решением уравнения (7) является
(8)
где ω – частота затухающих колебаний
(9)
Время, в течение которого амплитуда колебаний уменьшается в е раз, называется постоянной затухания (τ)
(10)
Степень уменьшения амплитуды принято характеризовать логарифмическим декрементом затухания
(11)
И коэффициентом затухания
(12)
Где А1 А2 - последовательные через период амплитуды колебаний (рис. 3).
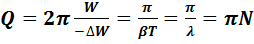
Степень уменьшения энергии осциллятора характеризует добротность, определяемая соотношением
(13)
Поскольку энергия пропорциональна квадрату амплитуды колебаний W ~ A2, то энергия изменяется по закону
(14)
Убыль энергии колебаний за период колебаний находится из (14) дифференцированием

Подставляя в (13) имеем, используя (11, 12)
(15)
Где N – число колебаний за время, в течение которого амплитуда колебаний уменьшается в е раз.






