Углеводы — органические соединения, состав которых в большинстве случаев выражается общей формулой C n (H2O) m (n и m ≥ 4). Углеводы подразделяются на моносахариды, олигосахариды и полисахариды.
Моносахариды — простые углеводы, в зависимости от числа атомов углерода подразделяются на триозы (3), тетрозы (4), пентозы (5), гексозы (6) и гептозы (7 атомов). Наиболее распространены пентозы и гексозы. Свойства моносахаридов — легко растворяются в воде, кристаллизуются, имеют сладкий вкус, могут быть представлены в форме α- или β-изомеров.
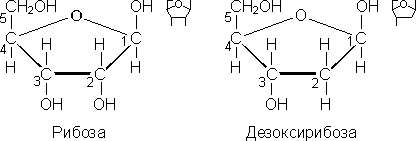
Рибоза и дезоксирибоза относятся к группе пентоз, входят в состав нуклеотидов РНК и ДНК, рибонуклеозидтрифосфатов и дезоксирибонуклеозидтрифосфатов и др. Дезоксирибоза (С5Н10О4) отличается от рибозы (С5Н10О5) тем, что при втором атоме углерода имеет атом водорода, а не гидроксильную группу, как у рибозы.

Глюкоза, или виноградный сахар (С6Н12О6), относится к группе гексоз, может существовать в виде α-глюкозы или β-глюкозы. Отличие между этими пространственными изомерами заключается в том, что при первом атоме углерода у α-глюкозы гидроксильная группа расположена под плоскостью кольца, а у β-глюкозы — над плоскостью.

Глюкоза — это:
- один из самых распространенных моносахаридов,
- важнейший источник энергии для всех видов работ, происходящих в клетке (эта энергия выделяется при окислении глюкозы в процессе дыхания),
- мономер многих олигосахаридов и полисахаридов,
- необходимый компонент крови.
Фруктоза, или фруктовый сахар, относится к группе гексоз, слаще глюкозы, в свободном виде содержится в меде (более 50%) и фруктах. Является мономером многих олигосахаридов и полисахаридов.
Олигосахариды — углеводы, образующиеся в результате реакции конденсации между несколькими (от двух до десяти) молекулами моносахаридов. В зависимости от числа остатков моносахаридов различают дисахариды, трисахариды и т. д. Наиболее распространены дисахариды. Свойства олигосахаридов — растворяются в воде, кристаллизуются, сладкий вкус уменьшается по мере увеличения числа остатков моносахаридов. Связь, образующаяся между двумя моносахаридами, называется гликозидной.
Сахароза, или тростниковый, или свекловичный сахар, — дисахарид, состоящий из остатков глюкозы и фруктозы. Содержится в тканях растений. Является продуктом питания (бытовое название — сахар). В промышленности сахарозу вырабатывают из сахарного тростника (стебли содержат 10–18%) или сахарной свеклы (корнеплоды содержат до 20% сахарозы).
Мальтоза, или солодовый сахар, — дисахарид, состоящий из двух остатков глюкозы. Присутствует в прорастающих семенах злаков.
Лактоза, или молочный сахар, — дисахарид, состоящий из остатков глюкозы и галактозы. Присутствует в молоке всех млекопитающих (2–8,5%).
Полисахариды — это углеводы, образующиеся в результате реакции поликонденсации множества (несколько десятков и более) молекул моносахаридов. Свойства полисахаридов — не растворяются или плохо растворяются в воде, не образуют ясно оформленных кристаллов, не имеют сладкого вкуса.
Крахмал (С6Н10О5) n — полимер, мономером которого является α-глюкоза. Полимерные цепочки крахмала содержат разветвленные (амилопектин, 1,6-гликозидные связи) и неразветвленные (амилоза, 1,4-гликозидные связи) участки. Крахмал — основной резервный углевод растений, является одним из продуктов фотосинтеза, накапливается в семенах, клубнях, корневищах, луковицах. Содержание крахмала в зерновках риса — до 86%, пшеницы — до 75%, кукурузы — до 72%, в клубнях картофеля — до 25%. Крахмал — основной углевод пищи человека (пищеварительный фермент — амилаза).
Гликоген (С6Н10О5) n — полимер, мономером которого также является α-глюкоза. Полимерные цепочки гликогена напоминают амилопектиновые участки крахмала, но в отличие от них ветвятся еще сильнее. Гликоген — основной резервный углевод животных, в частности, человека. Накапливается в печени (содержание — до 20%) и мышцах (до 4%), является источником глюкозы.
Целлюлоза (С6Н10О5) n — полимер, мономером которого является β-глюкоза. Полимерные цепочки целлюлозы не ветвятся (β-1,4-гликозидные связи). Основной структурный полисахарид клеточных стенок растений. Содержание целлюлозы в древесине — до 50%, в волокнах семян хлопчатника — до 98%. Целлюлоза не расщепляется пищеварительными соками человека, т.к. у него отсутствует фермент целлюлаза, разрывающий связи между β-глюкозами.

Инулин — полимер, мономером которого является фруктоза. Резервный углевод растений семейства Сложноцветные.
Гликолипиды — комплексные вещества, образующиеся в результате соединения углеводов и липидов.
Гликопротеины — комплексные вещества, образующиеся в результате соединения углеводов и белков.






